Добавить в корзинуПозвонить
Найти в Дзене
Широков Александр

Школьные задачи / Алгебра / А-53

Решите уравнение: 4[x]{x} + 4 = x + 15{x} (под целой частью числа x, обозначающейся при помощи квадратных скобок [x], понимается наибольшее целое число, не превышающее заданное; дробная часть x обозначается фигурными скобками и определяется как разность между самим числом и его целой частью: {x} = x – [x]; область определения функций y = [x] и y = {x} – всё множество действительных чисел, к тому же y = {x} – периодическая функция с периодом, равным 1, а полуинтервал [0; 1) является областью её значений). В исходном уравнении фигурирует как сама неизвестная величина, так и её целая и дробная части. Для решения уравнения имеет смысл избавиться хотя бы от чего-то одного, воспользовавшись соотношением x = [x] + {x} Подставляем его и получаем: 4[x]{x} + 4 = [x] + {x} + 15{x} ⇔ 4[x]{x} + 4 = [x] + 16{x} Перенесём все слагаемые в левую часть уравнения и попробуем при помощи группировки выполнить разложение на множители: 4[x]{x} + 4 = [x] + 16{x} ⇔ 4[x]{x} + 4 – [x] – 16{x} = 0 ⇔ 4[x]{x} –
Оглавление

Задание

Решите уравнение:

4[x]{x} + 4 = x + 15{x}

(под целой частью числа x, обозначающейся при помощи квадратных скобок [x], понимается наибольшее целое число, не превышающее заданное; дробная часть x обозначается фигурными скобками и определяется как разность между самим числом и его целой частью: {x} = x – [x]; область определения функций y = [x] и y = {x} – всё множество действительных чисел, к тому же y = {x} – периодическая функция с периодом, равным 1, а полуинтервал [0; 1) является областью её значений).

Решение

В исходном уравнении фигурирует как сама неизвестная величина, так и её целая и дробная части. Для решения уравнения имеет смысл избавиться хотя бы от чего-то одного, воспользовавшись соотношением

x = [x] + {x}

Подставляем его и получаем:

4[x]{x} + 4 = [x] + {x} + 15{x} ⇔ 4[x]{x} + 4 = [x] + 16{x}

Перенесём все слагаемые в левую часть уравнения и попробуем при помощи группировки выполнить разложение на множители:

4[x]{x} + 4 = [x] + 16{x} ⇔

4[x]{x} + 4 – [x] – 16{x} = 0 ⇔

4[x]{x} – 16{x} + 4 – [x] = 0 ⇔

4{x}([x] – 4) + 4 – [x] = 0 ⇔

4{x}([x] – 4) – ([x] – 4) = 0 ⇔

([x] – 4)·(4{x} – 1) = 0

Полученное уравнение в целом аналогично разбиравшемуся ранее в упражнении А-48, поэтому ход его решения будет схожим:

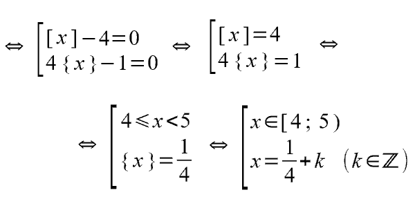
([x] – 4)·(4{x} – 1) = 0 ⇔

Ответ

x = ¹/₄ + k (k ∈ ℤ), x ∈ [4; 4¹/₄)⋃(4¹/₄; 5)

Другие задания, имеющиеся на канале, можно найти здесь:

Школьные задачи | Широков Александр | Дзен

-2
Перечень публикаций на канале
Широков Александр2 декабря 2020

-3