Добавить в корзинуПозвонить
Найти в Дзене
Широков Александр

Школьные задачи / Алгебра / А-52

Решите уравнение: [3{x}² + 8{x} – 3] = 0 (под целой частью числа x, обозначающейся при помощи квадратных скобок [x], понимается наибольшее целое число, не превышающее заданное; дробная часть x обозначается фигурными скобками и определяется как разность между самим числом и его целой частью: {x} = x – [x]; область определения функций y=[x] и y={x} – всё множество действительных чисел, к тому же y = {x} – периодическая функция с периодом, равным 1, а полуинтервал [0; 1) является областью её значений). Выполним замену переменной: t = {x} Исходное уравнение тогда перепишется в виде [3t² + 8t – 3] = 0 Целая часть квадратного трёхчлена 3t² + 8t – 3 равна нулю в случае, если его значение находится на промежутке [0; 1). Получается, что уравнение равносильно системе: [3t² + 8t – 3] = 0 ⇔ Сначала решим каждое из квадратных неравенств по отдельности методом интервалов. Для этого запишем соответствующие квадратные уравнения и отыщем у них корни. Перейдём далее к квадратным неравенствам: Теперь мож
Оглавление

Задание

Решите уравнение:

[3{x}² + 8{x} – 3] = 0

(под целой частью числа x, обозначающейся при помощи квадратных скобок [x], понимается наибольшее целое число, не превышающее заданное; дробная часть x обозначается фигурными скобками и определяется как разность между самим числом и его целой частью: {x} = x – [x]; область определения функций y=[x] и y={x} – всё множество действительных чисел, к тому же y = {x} – периодическая функция с периодом, равным 1, а полуинтервал [0; 1) является областью её значений).

Решение

Выполним замену переменной:

t = {x}

Исходное уравнение тогда перепишется в виде

[3t² + 8t – 3] = 0

Целая часть квадратного трёхчлена 3t² + 8t – 3 равна нулю в случае, если его значение находится на промежутке [0; 1). Получается, что уравнение равносильно системе:

[3t² + 8t – 3] = 0 ⇔

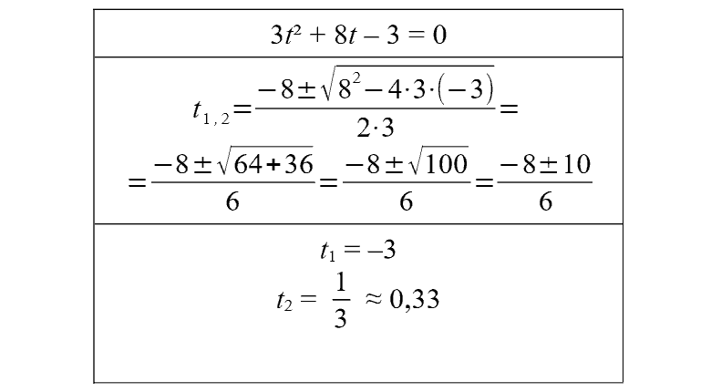
Сначала решим каждое из квадратных неравенств по отдельности методом интервалов. Для этого запишем соответствующие квадратные уравнения и отыщем у них корни.

-2
-3

Перейдём далее к квадратным неравенствам:

-4
-5

Теперь можно заняться решением системы – сделаем это графически (рис. 1).

Рис. 1.
Рис. 1.

Из рисунка видно, что на числовой прямой множество общих точек для обоих неравенств можно описать как объединение двух полуинтервалов:

-7

Возвращаясь к старой переменной получаем:

-8

Функция дробной части числа принимает только неотрицательные значения, следовательно, первое двойное неравенство объединения не выполняется ни при каких x:

-9

Числа

-10

– положительные, при этом они меньше единицы, следовательно, последнее полученное неравенство как минимум имеет решение, так как {x} может принимать указанные значения. Из смысла дробной части следует, что любое число из полуинтервала

-11

при подстановке его вместо переменной x обращает выражение

-12

в верное числовое неравенство. Если учесть периодичность функции {x}, то получается, что решение неравенства можно записать в виде:

-13

Как нетрудно догадаться, корни исходного уравнения будут выражаться точно также.

Ответ

-14

Другие задания, имеющиеся на канале, можно найти здесь:

Школьные задачи | Широков Александр | Дзен

-15
Перечень публикаций на канале
Широков Александр2 декабря 2020

-16