Добавить в корзинуПозвонить
Найти в Дзене
Aitäh!

Парадокс Браеса или почему нужно строить больше дорог чтобы было больше пробок

Решение проблемы пробок в городах может идти вразрез с интуитивно понятным подходом.

Загруженность автомобильных дорог является огромной проблемой современных городов, часто приводящей к разрастанию и усложнению дорожной сети. Но интуитивное решение строить больше дорог чтобы облегчить дорожную ситуацию часто может оказаться самым худшим, что можно предпринять в такой ситуации. Чем больше дорог строится, тем больший стимул создаётся для людей использовать личные автомобили из-за появления доступной дорожной инфраструктуры. Кроме того, новые дороги будут приводить к перераспределению транспортных потоков, что может привести к увеличению среднего времени поездки для всех участников движения. На эту контринтуитивную закономерность впервые обратил внимание немецкий математик Дитрих Браес, исследование которого было опубликовано в 1968 году. С тех пор подобное явление называется парадоксом Браеса.

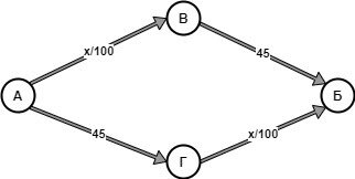
Классический случай парадокса Браеса можно описать следующим образом. Предположим, что есть два города, А и Б, между которыми проложены две дороги. Одна из них проходит через посёлок В, другая через посёлок Г. Участок дороги А-В очень узкий и извилистый, поэтому время поездки по этому участку равно x/100, где x - количество машин, одновременно едущих по этому участку. Участок В-Б проходит по многополосному шоссе, поэтому время поездки по нему всегда равно 45 минутам независимо от количества машин. Вторая дорога из А в Б, проходящая через посёлок Г, организована наоборот. Участок А-Г является широкополосным шоссе с временем поездки 45 минут, а участок Г-Б является узкой дорогой с временем поездки x/100.

На картинке ниже показаны обе дороги.

-2

Рассмотрим случай, когда 4000 машин хотят доехать из А в Б. Если все водители решает поехать по первой дороге, через посёлок В, общее время поездки составит 4000/100 + 45 = 85 минут. Таким же будет время движения по второй дороге через посёлок Г.

Если же одна половина водителей выберет первую дорогу, другая половина - вторую, общее время в пути сократится и составит 2000/100 + 45 = 65 минут. В этом случае система будет находиться в состоянии равновесия. Водители, стремясь сократить время поездки, будут распределяться поровну между дорогами. Если же загруженность какой-то дороги возрастёт, также возрастёт и время поездки по ней. Из-за этого остальные водители, отправляющиеся из А в Б, будут выбирать другую дорогу, тем самым выравнивая транспортные потоки и возвращая систему в состояние равновесия.

Рассмотрим теперь случай, когда местное правительство, желая улучшить дорожную ситуацию, решило построить дополнительную дорогу, проходящую от посёлка В к посёлку Г. Предположим, что время поездки по ней настолько мало, что в расчётах будет считать его равным 0.

-3

В этом случае состояние равновесия системы будет другим. Водители будут выбирать самые быстрые участки пути от А до Б. Это приведёт к тому, что все водители, выезжающие из А, будут выбирать участок А-В, максимальное время поездки по которому будет составлять 4000/100 = 40 минут в то время, как время поездки по участку А-Г будет составлять 45 минут. Далее, находясь в посёлке В, водители будут выбирать участок В-Г-Б, максимальное время проезда по которому будет также составлять 40 минут против 45 минут при проезде по участку В-Б. В результате все водители выберут маршрут А-В-Г-Б с общим временем поездки 80 минут. Это состояние будет новым равновесным состоянием системы. Продолжительность любого другого маршрута будет превышать 80 минут, мотивируя новых водителей стартующих из А в Б, по-прежнему выбирать маршрут А-В-Г-Б.

Отсюда следует парадоксальный вывод: после строительства дополнительной дороги общее время поездки между двумя точками увеличится, а загруженность отдельных участков пути (А-В, В-Г, Г-Б) значительно возрастёт.

Подобно многим другим контринтуитивным явлениям, требуется сочетание определённых условий чтобы парадокс Браеса проявился в реальной жизни.

Хорошим примером проявления парадокса в реальной жизни является случай Сеула, столицы Южной Кореи. В 1950-х годах, в ходе амбициозного проекта по облагораживанию территории и расширению транспортной инфраструктуры города было принято решение убрать одну из рек города, Чхонгечхон, в бетонный канал, а над ним построить широкополосную автомагистраль. Построенная магистраль исправно выполняло свою функцию до 1980-х, когда массовая автомобилизация населения привела к тому, что поток машин на магистрали превратился в одну бесконечную пробку. Это было проявлением парадокса Браесса, когда люди знали, что по магистрали пролегал кратчайший маршрут от места начала поездки до места назначения. Поскольку каждый автомобилист выбирал самый быстрый для себя маршрут, система находилась в состоянии равновесия, для которого было характерно то, что маршруты всех участников движения проходили через магистраль над Чхонгечхон. Это, в свою очередь, приводило к тому, что магистраль была постоянно загружена, а время поездки всех водителей увеличивалось.

В 2005 мэрией Сеула было принято решение демонтировать магистраль и восстановить реку, создав удобное экологичное общественное пространство. Несмотря на критику и прогнозы об ещё большем ухудшении дорожной ситуации, проект был реализован. В результате транспортные потоки в городе переориентировались, а часть водителей предпочла личному автомобилю общественный транспорт, линии которого были запущены вдоль восстановленной реки. Демонтаж реки не только не привёл к ухудшению дорожной ситуации, а, наоборот, вызвал повышение средней скорости автомобильного движения в городе.

Прогулочная зона вдоль восстановленной реки Чхонгечхон, источник: Википедия
Прогулочная зона вдоль восстановленной реки Чхонгечхон, источник: Википедия

Подобная ситуация наблюдалась и в других городах. Например, закрытие вечно загруженной 42 улицы в Нью-Йорке в 1990 году привело к сокращению количества пробок в городе.

Тем не менее, несмотря на то, что парадокс Браеса является известным и изученным явлением, во многих городах всё равно пытаются решать транспортные проблемы строительством новых дорог. В большинстве случаев это не только приводит к ещё большей загруженности дорог, но и к разрастанию сопутствующих проблем с экологией и комфортом городской среды. Однако опыт Сеула и других городов находят всё большее применение в городских проектах по всему миру, что открывает новые перспективы в планировании современных городов и повышении комфорта жизни в них.