Добавить в корзинуПозвонить
Найти в Дзене

Колючая нежность задач по химии ЕГЭ 2019. 35-е задание (массовые доли + шипы кратности)

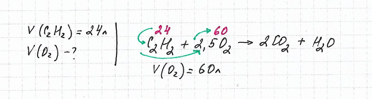
Вы хотите подготовиться к ЕГЭ по химии фундаментально, профессионально, результативно, получая удовольствие от каждой стадии образовательного процесса? Тогда вам сюда! Читайте с радостью - учитесь с удовольствием! Карлсон обиделся. Жутко! Беспощадно! Невыносимо! Обиделся на меня. Знаете из-за чего? Карлсон обиделся за то, что я превратила Фрекен Бок из его любимой домомучительницы в самую обыкновенную химичку, которых в каждой школе завались! Ну, не совсем в обыкновенную, скорее, совсем в необыкновенную. По моему хотению и велению Фрекен Бок стала химичкой-завучем в школе, где учится Малыш. После первого дня занятий Малыш пришел домой в слезах - он получил тройку по своему самому любимому предмету. Думаю, вы уже догадались, Малыш получил тройку по химии. Я поинтересовалась у Малыша, что он неправильно сделал и где допустил ошибку? Малыш показал мне решенную задачу Какой объем (н.у.) кислорода потребуется для полного сгорания 24 л (н.у.) ацетилена? — Но задача решена абсолютно правильн

Вы хотите подготовиться к ЕГЭ по химии фундаментально, профессионально, результативно, получая удовольствие от каждой стадии образовательного процесса? Тогда вам сюда! Читайте с радостью - учитесь с удовольствием!

Карлсон обиделся. Жутко! Беспощадно! Невыносимо! Обиделся на меня. Знаете из-за чего? Карлсон обиделся за то, что я превратила Фрекен Бок из его любимой домомучительницы в самую обыкновенную химичку, которых в каждой школе завались! Ну, не совсем в обыкновенную, скорее, совсем в необыкновенную. По моему хотению и велению Фрекен Бок стала химичкой-завучем в школе, где учится Малыш.

После первого дня занятий Малыш пришел домой в слезах - он получил тройку по своему самому любимому предмету. Думаю, вы уже догадались, Малыш получил тройку по химии. Я поинтересовалась у Малыша, что он неправильно сделал и где допустил ошибку? Малыш показал мне решенную задачу

Какой объем (н.у.) кислорода потребуется для полного сгорания 24 л (н.у.) ацетилена?
Но задача решена абсолютно правильно, сказала я.
Нет, сказал Малыш. Химичиха-Фрекен-Бочиха сказала, что решать нужно только так, как объясняла она - через пропорцию, моли и 22,4 литра. Еще она сказала, что ей плевать на каких-то там геев и люссаков, которые, к тому же, как она надеется, давно умерли. В моей тетрадке она в упор не видит оформления задачи, а видит только уравнение реакции, которое, к тому же, написано неправильно, поскольку дробных коэффициентов не бывает! Я пытался ей сказать, что ответ правильный, но Химичиха-Фрекен-Бочиха пришла в ярость и заорала, что я подсмотрел ответ в ГДЗ! А еще она задала работу над ошибками - оформить задачу так, как написано в учебнике для 8-го класса. Если я не исправлюсь, она поставит мне единицу!

Я хотела поддержать Малыша, рассказав ему и о легких расчетах по уравнению реакции, и о молярном объеме газа, и о Гей-Люссаке, но даже не успела раскрыть рот, как раздалось знакомое жужжание.

— Простите, у вас тут можно приземлиться?
— Что?..
— Что-что, посадку давай! Не видишь, ослабеваю?! Спокойствие! Только спокойствие.

Да, это был он - всеми любимый, единственный и неповторимый! Карлсон предложил мне помощь - сходить, вернее, слетать в школу вместе с Малышом, чтобы разрулить проблему с задачей и тройкой. Я не возражала. С Химичихой-Фрекен-Бочихой мог справиться только в меру упитанный мужчина в полном расцвете сил, используя свои любимые приемы - низведение, курощение и дураковаляние.

— Ну, полетели? — спросил Карлсон. Малыш ещё раз всё взвесил. — А вдруг ты меня уронишь? — сказал он с тревогой. Это предположение ничуть не смутило Карлсона. — Велика беда! — воскликнул он. — Ведь на свете столько детей. Одним мальчиком больше, одним меньше — пустяки, дело житейское!

Малыш вскарабкался на плечи Карлсону, и они полетели. О том, что случилось в школе, мне рассказал Карлсон, поскольку Малыш был выставлен за дверь буквально после нескольких фраз училки.

— Ты исправил решение задачи?! — рявкнула Фрекен Бок, как только Малыш появился в дверях ее кабинета. Малыш перепуганно молчал.
— Я сказала, отвечай — да или нет! На простой вопрос всегда можно ответить «да» или «нет», по-моему, это не трудно! — завопила фрекен Бок.
— Представь себе, трудно, — вмешался Карлсон. — Я сейчас задам тебе простой вопрос, и ты сама в этом убедишься. Вот, слушай! Ты перестала пить коньяк по утрам, отвечай — да или нет?
У фрекен Бок перехватило дыхание, казалось, она вот-вот упадет без чувств. Она хотела что-то сказать, но не могла вымолвить ни слова.
— Ну вот вам, — сказал Карлсон с торжеством. — Повторяю свой вопрос: ты перестала пить коньяк по утрам?
— Да, да, конечно, — убеждённо заверил Малыш, которому так хотелось помочь фрекен Бок.
Но тут она совсем озверела.
— Нет! — закричала она, совсем потеряв голову.
Малыш покраснел и подхватил, чтобы её поддержать:
— Нет, нет, не перестала!
— Жаль, жаль, — сказал Карлсон. — Пьянство к добру не приводит.

Подхватив Малыша, Карлсон вылетел в открытое окно. На свободу. Домой. Ко мне. Химичиха-Фрекен-Бочиха была повержена и находилась в состоянии морального нокаута! Но... Карлсону все эти события, явно, не доставили удовольствия, и он высказал мне свое "фэ".

Напрасно ты превратила Фрекен Бок в химичку. Да, она иногда бывает полной дурой, но она добрая, кормит меня плюшками с вареньем. Я дружу с ней. Давай, лучше сделай химичкой Шапокляк - вот уж где неуемное желание пакостить всем подряд!
Химички тоже разные бывают - и добрые, и злые, и умные и ... не очень образованные. Пускай пока Фрекен поработает завучихой-химичкой, она еще не все приколы отыграла. Чуть позже я отправлю ее на пенсию. Кто прийдет на ее место, пока не знаю. Сам не хочешь?
Мне ничего не нужно. Ничего, кроме огромного торта, нескольких коробок печенья, горы шоколада и большого-пребольшого куля конфет!
А как же модная безглютеновая диета с низким карбогидратным индексом?
― Э-эх! Попадешь к вам в дом научишься есть всякую гадость...

И Карлсон улетел, но... обещал вернуться.

Однако, мы продолжим разговор о 35-м задании ЕГЭ по химии "Установление молекулярной и структурной формулы вещества", включающее также написание уравнения реакции с органическим веществом.

Сегодня я представляю алгоритмы решения задач "Вывод формулы вещества по массовой доле элементов", где простейшая формула кратное количество раз повторяется в истинной формуле. Далеко не все ученики могут справиться с такой формой алгоритма: вроде как и понятна задача, и не решается - колется, как шипы у розы. Поэтому задачи на вывод формулы вещества с "фокусами" кратности я одарила эпитетом "Колючая нежность".

Задание 35 (1)

Органическое вещество содержит 31,86% углерода, 5,3% водорода и 62,83% хлора (по массе). Плотность паров этого вещества по воздуху 3,897. Это органическое вещество можно получить взаимодействием соответствующего углеводорода с избытком хлороводорода.
На основании данных условия задания:
1) проведите необходимые вычисления (указывайте единицы измерения искомых физических величин) и установите молекулярную формулу исходного органического вещества;
2) составьте структурную формулу этого вещества, которая однозначно отражает порядок связи атомов в его молекуле;
3) напишите уравнение реакции получения этого вещества из углеводорода (используйте структурные формулы органических веществ).

Выписываем данные в разделе Дано

-2

Выписываем формулу вещества в общем виде (по данным задачи) и определяем основную логическую структуру алгоритма.

-3

Выясняем возможность определения (расчета) каждой составляющей логической структуры алгоритма. Это - мои мысли вслух (т.е. на бумаге), поэтому я обвела эту часть решения другим цветом.

-4

В условии представлены только относительные данные (массовые доли), поэтому вводится свободный параметр - абсолютное значение массы (пусть масса вещества 100 г). По формуле определения массовой доли можно рассчитать массу атомов каждого элемента.

-5

Поскольку максимальное значение массовой доли 100%, лучше ввести значение массы 100 г, тогда абсолютные значение массы элемента и его массовой доли в % - равны (по модулю).

-6

Дальнейшее решение задачи проводится в таблице, включающей, как минимум, три колонки - масса атомов (массовая доля в % по условию), молярная масса, количество вещества (рассчитывается по формуле).

Nota bene (заметь, обрати внимание)! Количество вещества атомов каждого элемента рассчитывается с высокой точностью (не менее трех знаков после запятой).

-7

Количество атомов в молекуле - целое число, поэтому необходимо соотношения дробных значений количества вещества привести к целым значениям. Как это сделать?

Каждый показатель количества вещества нужно разделить на самое маленькое число из всех полученных значений

Делим каждое рассчитанное количество вещества на самое маленькое значения получаем целые числа - соотношения числа атомов в простейшей формуле вещества. Выписываем простейшую формулу и рассчитываем ее молярную массу.

-8

Если молекула исходного вещества включает кратное отношение атомов, то в условии задачи обязательно указывается реальная молярная масса этого вещества или предлагаются данные для ее вычисления (абсолютная и относительная плотность, масса и объем и др.). В представленной задаче предлагается рассчитать молярную массу исходного вещества по плотности паров этого вещества по воздуху.

После расчета реальной молярной массы определяется кратность простейшей формулы и записывается окончательный ответ. В конкретной задаче молярная масса вещества равна молярной массе его простейшей формулы, значит простейшая формула является истинной. Исходное вещество - дихлорпропан.

-9

По данным условия устанавливаем однозначную структуру вещества: "Это органическое вещество можно получить взаимодействием соответствующего углеводорода с избытком хлороводорода". В хлороводороде - 1 атом хлора, в дихлорпропане - 2 атома хлора. Значит, углеводород должен присоединить 2 молекулы хлороводорода. Это может быть только в случае тройной связи.

Не забываем, что присоединение протонных кислот и воды к несимметричным углеводородам происходит по правилу Марковникова (для особо продвинутых, с учетом электронных эффектов и смещения электронной плотности, т.е с учетом статического фактора).

Правило Марковникова. Присоединение к несимметричным алкенам молекул сложных веществ с формулой НХ, атом Н присоединяется к более гидрогенизированному атому С при двойной связи (т.е. содержащему большее число атомов Н), а Х – к менее гидрогенизированному атому С.

Записываем уравнение реакции присоединения.

-10

Задание 35 (2)

Углеводород содержит 87,81% углерода по массе. Плотность паров этого вещества при н.у. 3,66 г/л. Углеводород взаимодействует с аммиачным раствором оксида серебра, и в его составе есть четвертичный атом углерода.
На основании этих данных:
1) проведите необходимые вычисления (указывайте единицы измерения искомых физических величин) и установите молекулярную формулу исходного органического вещества;
2) составьте структурную формулу этого вещества, которая однозначно отражает порядок связи атомов в его молекуле;
3) приведите уравнение реакции его взаимодействия с аммиачным раствором оксида серебра.

Последовательность действий:

1) Выписать данные в разделе Дано

2) Составить логическую структуру алгоритма

3) Выяснить источник для расчета количества вещества атомов элемента

4) Ввести свободный параметр (Пусть было 100 г вещества)

5) Составить таблицу (масса, молярная масса, количество вещества)

6) Рассчитать целые значения соотношений количества вещества

7) Вывести простейшую формулу вещества и рассчитать молярную массу

8) Определить реальную молярную массу вещества

9) Рассчитать кратность и вывести реальную формулу

10) Написать однозначную структуру вещества

11) Написать предложенное уравнение реакции

-11

Вы готовитесь к ЕГЭ и хотите поступить в медицинский? Обязательно посетите мой сайт Репетитор по химии и биологии. Здесь вы найдете огромное количество задач, заданий и теоретического материала, познакомитесь с моими учениками, многие из которых уже давно работают врачами. Звоните мне +7 (903) 186-74-55. Приходите ко мне на курс, на Мастер-классы "Решение задач по химии" - и вы сдадите ЕГЭ с высочайшими баллами, и станете студентом престижного ВУЗа!

PS! Если вы не можете со мной связаться из-за большого количества звонков от моих читателей, пишите мне в личку ВКонтакте или на Facebook. Я обязательно отвечу вам.

Репетитор по химии и биологии кбн В.Богунова