Найти в Дзене
N + 1

Рабочую память детей в девять лет связали с толщиной коры мозга в год

  N + 1; Mysid / Wikimedia Commons / Public Domain
N + 1; Mysid / Wikimedia Commons / Public Domain

Американские нейрофизиологи проследили изменения на МРТ 50 детей от рождения до 6 лет и выяснили, что кора мозга достигает пика толщины в возрасте 12 месяцев. А в возрасте 9 лет дети прошли серию тестов на рабочую память и оказалось, что их результаты отрицательно коррелируют с толщиной коры в области средней лобной извилины в годовалом возрасте. Результаты исследования опубликованы в журнале Proceedings of the National Academy of Sciences.

Первые годы жизни очень важны для развития мозга ребенка: они сопровождаются начальным периодом роста пролиферации нейронов, за которым следует период синаптического прунинга. Так называют сокращение числа синапсов или нейронов для повышения эффективности нейросети и удаления избыточных связей. Синаптический прунинг начинается после рождения и заканчивается периодом полового созревания. Большинство исследований, которые изучают эти процессы, фокусируются на сравнительно небольших периодах (1-3 года), поэтому связь развития мозга на протяжении первых пяти лет жизни и когнитивных показателей в дальнейшем изучена недостаточно.

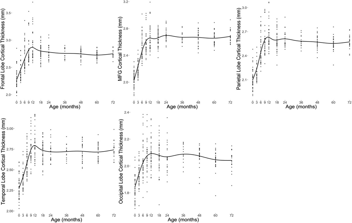
Нейрофизиологи под руководством Мэган Дэвис (Megan M. Davis) из Университета Вашингтона решили проследить, как меняется толщина коры головного мозга у детей от рождения до 6 лет и как этот показатель связан с когнитивными функциями в дальнейшем. Всего в эксперименте приняли участие 50 детей. В возрасте 3, 6, 9, 12 и 18 месяцев, а также 2, 3, 4, 5 и 6 лет им выполнили МРТ головного мозга. Для анализа происходящих в мозге изменений ученые использовали мультиуровневую нелинейную статистическую модель.

Исследователи смогли вывести общие закономерности в развитии мозга. Так, толщина коры нарастала с рождения и до 12 месяцев, затем уменьшалась с 12 до 18 месяцев и снова немного увеличивалась с 18 месяцев до 6 лет. Этот процесс отражает паттерн нейрональной пролиферации и синаптического прунинга.

  Davis et. al / Proceedings of the National Academy of Sciences, 2025
Davis et. al / Proceedings of the National Academy of Sciences, 2025

Чтобы посмотреть, есть ли закономерности между развитием коры головного мозга и когнитивными функциями, в возрасте 9 лет детям предложили выполнить задания на оценку рабочей памяти. Успешность выполнения тестов отрицательно

β=−0,19, p=0,04

с толщиной коры в области средней лобной извилины, которую наблюдали в 12 месяцев. Полученный результат подтверждается и другими исследованиями, в которых нашли связь между более тонкой лобно-теменной корой и лучшими результатами в тестах на рабочую память.

Авторы работы считают, что в будущих исследованиях необходимо изучить, какие факторы окружающей среды позволяют мозгу детей развиваться по-разному, а также установить, какие периоды в развитии мозга являются ключевыми для обучения.

В этой области уже сейчас проводятся исследования. Например, недавно мы писали, что, по результатам экспериментов, словарный запас двухлетних детей связали с реакцией их мозга на общение с родителями в пять месяцев.