Добавить в корзинуПозвонить
Найти в Дзене
Широков Александр

Школьные задачи / Алгебра / А-50

Решите уравнение: [x² + 2x – 3] + 4 = 0 (под целой частью числа x понимается наибольшее целое число, не превышающее заданное; её принято обозначать при помощи квадратных скобок: [x]; функция y = [x] определена на всём множестве действительных чисел). Для удобства обозначим квадратный трёхчлен в уравнении следующим образом: x² + 2x – 3 = t, после чего перенесём 4 в правую часть. Получим: [t] = –4 Целая часть числа равна –4, если само это число находится на следующем промежутке: –4 ≤ t < –3 Если сделать обратную замену, то получим, что исходное уравнение равносильно системе неравенств: [x² + 2x – 3] + 4 = 0 ⇔ Преобразуем её: Первое неравенство выполняется при любом действительном x, поэтому вся система равносильна второму неравенству: ⇔ x(x + 2) < 0 Решим его методом интервалов (рис. 1). Выражение x(x + 2) обращается в ноль при x = –2 и при x = 0. Подстановкой конкретных чисел легко определить, что x(x + 2) отрицательно при –2 < x < 0. Данный числовой промежуток и будет являться множеств
Оглавление

Задание

Решите уравнение:

[x² + 2x – 3] + 4 = 0

(под целой частью числа x понимается наибольшее целое число, не превышающее заданное; её принято обозначать при помощи квадратных скобок: [x]; функция y = [x] определена на всём множестве действительных чисел).

Решение

Для удобства обозначим квадратный трёхчлен в уравнении следующим образом:

x² + 2x – 3 = t,

после чего перенесём 4 в правую часть. Получим:

[t] = –4

Целая часть числа равна –4, если само это число находится на следующем промежутке:

–4 ≤ t < –3

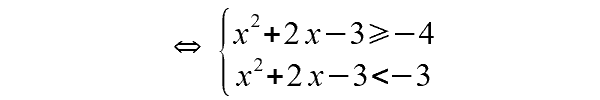
Если сделать обратную замену, то получим, что исходное уравнение равносильно системе неравенств:

[x² + 2x – 3] + 4 = 0 ⇔

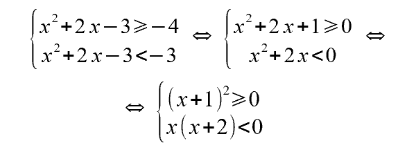
Преобразуем её:

-2

Первое неравенство выполняется при любом действительном x, поэтому вся система равносильна второму неравенству:

-3

x(x + 2) < 0

Решим его методом интервалов (рис. 1). Выражение x(x + 2) обращается в ноль при x = –2 и при x = 0. Подстановкой конкретных чисел легко определить, что x(x + 2) отрицательно при –2 < x < 0. Данный числовой промежуток и будет являться множеством решений исходного уравнения.

Рис. 1.
Рис. 1.

Ответ

x ∈ (–2; 0)

Другие задания, имеющиеся на канале, можно найти здесь:

Школьные задачи | Широков Александр | Дзен
-5
Перечень публикаций на канале
Широков Александр2 декабря 2020
-6