Добавить в корзинуПозвонить
Найти в Дзене
Широков Александр

Школьные задачи / Алгебра / А-26

Построить график уравнения: tg y = tg x Помня, что функция тангенса определена не для всех действительных чисел, преобразуем исходное уравнение: (при последнем переходе применено тождество для синуса разности двух аргументов). Полученная дробь может быть равна нулю, когда sin (y – x) = 0, при этом cos x ≠ 0 и cos y ≠ 0. Иными словами исходное уравнение равносильно следующей системе, с которой также можно выполнить ряд преобразований: Первое выражение в системе описывает серию уравнений: … y = x – 2π y = x – π y = x y = x + π y = x + 2π … На координатной плоскости графики их представляют собой множество прямых линий, наклонённых под углом 45° по отношению к положительному направлению оси абсцисс, и смещённых друг относительно друга по оси ординат на π (рис. 1). Второе выражение системы описывает множество значений, которые не может принимать величина x в исходном уравнении (cos x ≠ 0). Графически это можно изобразить как бесконечную череду вертикальных линий, расположенных на расстоянии
Оглавление

Задание

Построить график уравнения:

tg y = tg x

Решение

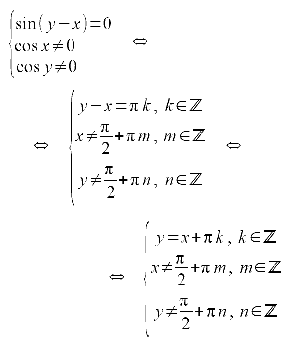
Помня, что функция тангенса определена не для всех действительных чисел, преобразуем исходное уравнение:

(при последнем переходе применено тождество для синуса разности двух аргументов). Полученная дробь может быть равна нулю, когда sin (yx) = 0, при этом cos x ≠ 0 и cos y ≠ 0. Иными словами исходное уравнение равносильно следующей системе, с которой также можно выполнить ряд преобразований:

-2

Первое выражение в системе описывает серию уравнений:

y = x – 2π

y = x – π

y = x

y = x + π

y = x + 2π

На координатной плоскости графики их представляют собой множество прямых линий, наклонённых под углом 45° по отношению к положительному направлению оси абсцисс, и смещённых друг относительно друга по оси ординат на π (рис. 1).

Рис. 1.
Рис. 1.

Второе выражение системы описывает множество значений, которые не может принимать величина x в исходном уравнении (cos x ≠ 0). Графически это можно изобразить как бесконечную череду вертикальных линий, расположенных на расстоянии π друг от друга (рис. 2).

Рис. 2.
Рис. 2.

Аналогично, третье выражение в системе описывает множество значений, которые не может принимать величина y (cos y ≠ 0) и графически это выглядит как серия горизонтальных линий, где расстояние между соседними составляет π (рис. 3).

Рис. 3.
Рис. 3.

Для изображения графика заданного в условии уравнения необходимо на графике sin (y x) = 0 «выколоть» точки его пересечений с линиями, соответствующими требованиям cos x ≠ 0 и cos y ≠ 0 (рис. 4).

Рис. 4.
Рис. 4.

Ответ

-7

Комментарий

Выше было показано, что по ходу решения выполняется построение графика уравнения

sin(yx) = 0

Этот этап может быть сформулирован для учащихся в виде отдельного более простого задания, предваряющего не только решение разобранной здесь задачи, но и упражнения А-10.

-8

Другие задачи, имеющиеся на канале, можно найти здесь:

Школьные задачи | Широков Александр | Дзен

См. также:

-9
Перечень публикаций на канале
Широков Александр2 декабря 2020