Добавить в корзинуПозвонить
Найти в Дзене

Геометрическая прогрессия. ОГЭ. Разбор задач

1. Формула n-го члена геометрической прогрессии: 2. Формула суммы первых n членов геометрической прогрессии: Решить эту задачу можно, не прибегая к формуле нахождения n-го члена прогрессии. Будем рассуждать так: в 2000 году прибыль бизнесмена была 5000 рублей, а в 2001 она выросла на 300%. Переведем 300% в дробь и получим 300/100 = 3. Таким образом, в 2001 году Бубликов к своим 5000 рублей прибавил еще три раза по столько же и получил: В 2002 году к тем 20000, которые он получил в прошлом году, прибавились еще 300% от этой суммы, следовательно, в 2002 году он получил Рассуждая аналогично, придем к выводу, что в 2003 году Бубликов увеличил свой капитал на Обозначим за b1 первый член геометрической прогрессии, тогда второй член прогрессии можно вычислить так: Таким образом, знаменатель прогрессии q=4, а b1=5000. Ответ: за 2003 год Бубликов заработал 320 000р. Посчитаем, сколько денег получил, и сколько отдал богач за 15 дней: Чтобы найти, сколько он выплатил этому хитрецу, применим ф
Оглавление

Основные формулы геометрической прогрессии:

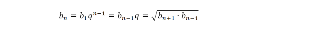
1. Формула n-го члена геометрической прогрессии:

Нахождение n_го члена геометрической прогрессии
Нахождение n_го члена геометрической прогрессии

2. Формула суммы первых n членов геометрической прогрессии:

Сумма первых n членов геометрической прогрессии
Сумма первых n членов геометрической прогрессии

1. Проценты в прогрессии

Бизнесмен Бубликов получил в 2000 году прибыль в размере 5000 рублей. Каждый следующий год его прибыль увеличивалась на 300% по сравнению с предыдущим годом. Сколько рублей заработал Бубликов за 2003 год?

Решить эту задачу можно, не прибегая к формуле нахождения n-го члена прогрессии. Будем рассуждать так: в 2000 году прибыль бизнесмена была 5000 рублей, а в 2001 она выросла на 300%. Переведем 300% в дробь и получим 300/100 = 3. Таким образом, в 2001 году Бубликов к своим 5000 рублей прибавил еще три раза по столько же и получил:

-4

В 2002 году к тем 20000, которые он получил в прошлом году, прибавились еще 300% от этой суммы, следовательно, в 2002 году он получил

-5

Рассуждая аналогично, придем к выводу, что в 2003 году Бубликов увеличил свой капитал на

-6

Теперь рассмотрим решение с применением формулы для нахождения n-го члена геометрической прогрессии.

Обозначим за b1 первый член геометрической прогрессии, тогда второй член прогрессии можно вычислить так:

-7
Таким образом, знаменатель прогрессии q=4, а b1=5000.

-8

Ответ: за 2003 год Бубликов заработал 320 000р.

2. Задача про богача и «выгодную» сделку. Сумма геометрической прогрессии

Однажды богач заключил выгодную, как ему казалось, сделку с человеком, который в течение 15 дней ежедневно должен был приносить по 1000 р., а взамен в первый день богач должен был отдать 10 р., во второй  — 20 р., в третий  — 40 р., в четвертый  — 80 р. и т. д. в течение 15 дней. Сколько денег получил богач и сколько он отдал? Кто выиграл от этой сделки? В ответ запишите, сколько рублей потерял богач за 15 дней.

Посчитаем, сколько денег получил, и сколько отдал богач за 15 дней:

-9

Чтобы найти, сколько он выплатил этому хитрецу, применим формулу суммы первых n членов геометрической прогрессии, но для начала составим саму последовательность:

-10

Таким образом, богач потерял 327 670 – 15000 = 312 670р.

Ответ: богач потерял за 15 дней 312 670р.

3. Биржевые торги. Снова обойдемся без прогрессии

На биржевых торгах в понедельник вечером цена акции банка «Городской» повысилась на некоторое количество процентов, а во вторник произошло снижение стоимости акции на то же число процентов. В результате во вторник вечером цена акции составила 99% от ее первоначальной цены в понедельник утром. На сколько процентов менялась котировка акции в понедельник и во вторник?

Когда мы решаем задачи, где нужно найти процент или часть от неизвестного, мы часто прибегаем к такому приему, как обозначение этого неизвестного через 1. Действительно, 1 – это и целая часть, и 100%.

Применим этот подход к решению задачи.

Пусть на x процентов цена акции повысилась в понедельник вечером и понизилась во вторник, тогда в понедельник после повышения акции стоили

-11

По условию эта стоимость равнялась 99% от изначальной стоимости, т.е. в нашем случае от 1, поэтому

-12

Решим уравнение и получим, что x=10.

Ответ: котировка акций менялась на 10%.

Если было полезно и интересно, ставьте лайк) и подписывайтесь на канал, чтобы не пропустить другие статьи