Добавить в корзинуПозвонить
Найти в Дзене

Арифметическая прогрессия. Разбор задач из ОГЭ

1. «Амфитеатр» Рассмотрим нахождение N-го члена арифметической прогрессии на примере задачи типа 14, в которой требуется найти количество мест в восьмом ряду. В амфитеатре 10 рядов. В первом ряду 25 мест, а в каждом следующем на 3 места больше, чем в предыдущем. Сколько мест в восьмом ряду амфитеатра? Поскольку количество мест увеличивается «на», то мы имеем дело с арифметической прогрессией, каждый член которой получается из предыдущего путем прибавления к нему 3: В задаче спрашивается, сколько мест в 8 ряду, значит, требуется найти восьмой член прогрессии: Ответ: 46 мест. В амфитеатре 14 рядов, причем в каждом следующем ряду на одно и то же число мест больше, чем в предыдущем. В пятом ряду 27 мест, а в восьмом ряду 36 мест. Сколько мест в последнем ряду амфитеатра? В этой задаче, как и в предыдущей, нам нужно найти n-й член прогрессии, а именно a8. Но, в отличие от предыдущей, в этой задаче не дан шаг (d) и первый член прогрессии (а1), а даны только количества мест в двух «случайных
Оглавление

Арифметическая прогрессия. Нахождение n-го члена.

1. «Амфитеатр»

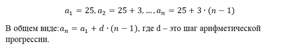
Рассмотрим нахождение N-го члена арифметической прогрессии на примере задачи типа 14, в которой требуется найти количество мест в восьмом ряду.

В амфитеатре 10 рядов. В первом ряду 25 мест, а в каждом следующем на 3 места больше, чем в предыдущем. Сколько мест в восьмом ряду амфитеатра?

Поскольку количество мест увеличивается «на», то мы имеем дело с арифметической прогрессией, каждый член которой получается из предыдущего путем прибавления к нему 3:

-2

В задаче спрашивается, сколько мест в 8 ряду, значит, требуется найти восьмой член прогрессии:

-3

Ответ: 46 мест.

В амфитеатре 14 рядов, причем в каждом следующем ряду на одно и то же число мест больше, чем в предыдущем. В пятом ряду 27 мест, а в восьмом ряду 36 мест. Сколько мест в последнем ряду амфитеатра?

В этой задаче, как и в предыдущей, нам нужно найти n-й член прогрессии, а именно a8. Но, в отличие от предыдущей, в этой задаче не дан шаг (d) и первый член прогрессии (а1), а даны только количества мест в двух «случайных» рядах. Таким образом, нам и нужно найти две неизвестных, но и даны нам два условия. Значит, можем составить систему уравнений:

-4

Решаем систему и получаем значения: d=3, a1=15.

Найдем а14 по уже известной формуле:

-5

Ответ: 54 места.

2. Арифметическая прогрессия. Нахождение суммы арифметической прогрессии.

2. Камень бросают в ущелье

Камень бросают в глубокое ущелье. При этом в первую секунду он пролетает 9 метров, а в каждую следующую секунду на 10 метров больше, чем в предыдущую, до тех пор, пока не достигнет дна ущелья. Сколько метров пролетит камень за первые пять секунд?

Количество метров, которое камень пролетает за каждую последующую секунду, увеличивается «на», значит, мы снова имеет дело с арифметической прогрессией. В задаче спрашивается, сколько всего метров пролетит камень за первые 5 секунд, что складывается из расстояний, которые он пролетит за 1ю секунду, 2ю, 3ю, 4ю и 5ю секунды. Таким образом, нужно найти сумму первых пяти членов арифметической прогрессии:

-6

Теперь важно не запутаться и правильно определить чему равно n. Итак, когда пройдет первая секунда, камень пролетит 9м, когда пройдет вторая – 19м, и т.д. То есть, имеем последовательность:

-7

Так, за 5ю секунду камень пролетит 49м. Найдем, сколько он пролетит за пять секунд, т.е. найдем сумму первых пяти членов прогрессии:

-8

Ответ: 45 метров

3. Змейка

На клетчатой бумаге с размером 1х1 клетки нарисована «змейка», представляющая собой ломаную, состоящую из четного числа звеньев, идущих по линиям сетки. На рисунке изображен случай, когда последнее звено имеет длину 10. Найдите длину ломаной, построенной аналогичным образом, последнее звено которой имеет длину 120.

изображение взято с сайта oge.sdamgia.ru
изображение взято с сайта oge.sdamgia.ru

В данной задаче нам также нужно найти сумму первых n членов арифметической прогрессии. Найдем значение n, т.е. то количество пар звеньев, которые имеют одинаковую длину.

Действительно, первые два звена имею длину 1, третье и четвертое звенья – длину 2, и т.д. Таким образом, зададим последовательность четных чисел, каждое из которых есть сумма длин двух одинаковых звеньев:

-10

Если последнее звено имеет длину 120, то предпоследнее – тоже 120, а их сумма – 240.

Найдем значение n:

-11

Найдем сумму первых 120 членов арифметической прогрессии:

-12

Ответ: длина ломаной 14520

3. Прогрессия без прогрессии

4. Бригада рабочих

Бригада рабочих могла выполнить всю работу за 24 ч, если бы работали одновременно все рабочие. Однако по плану в первый час работал один рабочий, во второй час  — 2 рабочих, в третий  — 3 и т. д. до тех пор, пока в работу не включились все рабочие. И только несколько часов перед завершением работала вся бригада. Время работы, предусмотренное планом, было бы сокращено на 6 часов, если бы с самого начала работы работала бы вся бригада, за исключением пяти рабочих. Найдите количество рабочих.

1) Для начала определим, что понимается под определением «работа» и как она выражается через другие величины.

По аналогии с задачами на движение, где S=v*t, работа выражается как A=v*t, т.е. и расстояние, и работа – это произведение времени и скорости.

В данной задаче понимаем скорость как количество рабочих – чем больше рабочих, тем меньше требуется времени на выполнение всей работы. Таким образом, A=n*t, где n – это количество рабочих.

2) В задаче есть два условия, назовем их «план» и «если бы…».

«План»: время было бы сокращено на 6 часов, если бы с самого начала работала бы вся бригада, за исключением 5 рабочих. То есть, 24 часа – это время, сокращенное на 6 часов. То есть, время, предусмотренное планом, 24+6=30 часов. Таким образом, если все рабочие, кроме 5 человек, будут работать 30 часов, то они выполнят всю работу:

-13

С другой стороны, если они будут работать все одновременно, то выполнят работу за 24 часа:

-14

Составим уравнение и найдем количество рабочих:

-15

Ответ: 25 рабочих