Найти в Дзене
Широков Александр

Школьные задачи / Алгебра / А-60

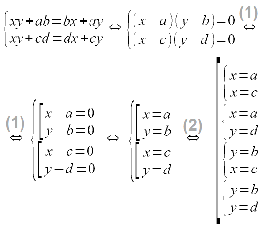
Каким условиям должны удовлетворять действительные числа a. b, c и d, чтобы система уравнений имела ровно два решения? Последовательность действий будет сходна с использовавшейся в задании А-59. Преобразуем сначала первое уравнение системы. Для этого все его слагаемые перенесём из правой в левую часть xy + ab = bx + ay ⇔ xy + ab – bx – ay = 0 , а далее попробуем разложить левую часть на множители при помощи группировки: xy + ab – bx – ay = xy – bx – ay + ab = x(y – b) – a(y – b) = (y – b)(x – a) Аналогично поступим со вторым уравнением: xy+ cd = dx +cy= 0 ⇔ xy + cd – dx – cy = 0 и xy + cd – dx – cy = xy – dx + cd – cy = x(y – d) – c(y – d) = (y – d)(x – c) Таким образом с исходной системой можно осуществить следующие равносильные преобразования: Переход (1) осуществляется исходя из того что произведение равно нулю, если хотя бы один из множителей равен нулю. Шаг (2), представляющий переход от системы из двух объединений к объединению четырёх систем, получается из следующих сообр
Оглавление

Задание

Каким условиям должны удовлетворять действительные числа a. b, c и d, чтобы система уравнений

имела ровно два решения?

Решение

Последовательность действий будет сходна с использовавшейся в задании А-59. Преобразуем сначала первое уравнение системы. Для этого все его слагаемые перенесём из правой в левую часть

xy + ab = bx + ayxy + abbxay = 0 ,

а далее попробуем разложить левую часть на множители при помощи группировки:

xy + abbxay = xybxay + ab = x(yb) – a(yb) = (yb)(xa)

Аналогично поступим со вторым уравнением:

xy+ cd = dx +cy= 0 ⇔ xy + cddxcy = 0

и

xy + cddxcy = xydx + cdcy = x(yd) – c(yd) = (yd)(xc)

Таким образом с исходной системой можно осуществить следующие равносильные преобразования:

-2

Переход (1) осуществляется исходя из того что произведение равно нулю, если хотя бы один из множителей равен нулю. Шаг (2), представляющий переход от системы из двух объединений к объединению четырёх систем, получается из следующих соображений. Знак объединения (квадратная скобка) имеет смысл логического сложения, а знак системы – логического умножения. Присвоив математическим выражениям соответствующие буквенные обозначения

A: x = a

B: y = b

C: x = c

D: y = d

можно сначала систему из двух объединений формально представить в виде

(A + B)·(C + D) ,

раскрыть скобки

(A + B)·(C + D) = A·C + A·D + B·C + B·D

и переписать получившееся выражение уже как объединение четырёх систем. Легко видеть, что в нём вторая и третья системы

-3

как раз описывают два решения системы исходной: (a; d), (c; b), причем эти решения будут существовать всегда, вне зависимости от того, какие значения имеют числа a, b, c, d. Если теперь вернуться к требованию задачи, то из него вытекает, что для его выполнения необходимо и достаточно, чтобы первая и четвёртая системы объединения решений не имели, то есть были равносильны пустому множеству:

-4

Для этого надо, чтобы a, b, c, d соотносились между собой следующим образом:

a c и b d

Эти выражения и будут условиями наличия у исходной системы уравнений только двух решений, тем не менее для полноты рассмотрения задачи имеет смысл выяснить, что будет при невыполнении установленных условий. Для наглядности изобразим сначала графики уравнений (x a)·(y b) = 0 и (x c)·(y d) = 0 (они равносильны исходным уравнения системы – см. выше). График первого уравнения представляет собой совокупность линий, описываемых уравнениями x = a и y = b, а график второго – совокупность линий x = c и y = d. На рис. 1 изображён случай, когда a c и bd, а решения системы есть точки пересечения графиков уравнений, имеющие координаты (a; d) и (c; b).

Рис. 1.
Рис. 1.

Пусть теперь a = c, а bd . Исходную систему тогда можно записать в виде

-6

График её уравнений изображён на рис. 2 и видно, что их общие точки (множество решений) составляют линию x = a. Иными словами исходная система при a = c, а bd имеет бесконечно много решений, совокупность которых можно описать как x = a, а y – любое действительное число.

Рис. 2.
Рис. 2.

Случай, когда a c, а b = d приводит к системе вида

-8

которая также имеет бесконечное количество решений, в которых y = b, а x – любое действительное число (рис. 3).

Рис. 3.
Рис. 3.

Ну и наконец вариант, когда a = c, а b = d . Здесь система вырождается в одно уравнение

(xa)·(yb) = 0 ,

для которого множество пар чисел x и y, обращающих его в верное числовое равенство (то есть множество решений) можно описать как или x = a, а y ∈ ℝ, или y = b, а x ∈ ℝ, что дополнительно иллюстрируется на рис. 4.

Рис. 4.
Рис. 4.

Ответ

a c ; b d

Другие задания, имеющиеся на канале, можно найти здесь:

Школьные задачи | Широков Александр | Дзен

См. также:

О равносильных преобразованиях (для школьников)
Широков Александр10 января 2022

-11

Перечень публикаций на канале
Широков Александр2 декабря 2020

-12

Наука
7 млн интересуются