Добавить в корзинуПозвонить
Найти в Дзене
Широков Александр

Школьные задачи / Алгебра / А-59

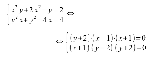
Решите систему уравнений: Рассмотрим сначала первое уравнение системы. Перенесём число 2 в левую его часть и попробуем разложить её на множители при помощи группировки: x²y + 2x² – y – 2 = x²·(y + 2) – (y + 2) = (y + 2)·(x² – 1) = (y + 2)·(x – 1)·(x + 1) Во втором уравнении системы перенесём число 4 влево и тоже выполним группировку: y²x + y² – 4x – 4 = y²·(x + 1) – 4·(x + 1) = (x + 1)·(y² – 4) = (x + 1)·(y – 2)·(y + 2) Таким образом Произведение нескольких множителей равно нулю, если хотя бы один из них равен нулю, следовательно: Мы получили систему из двух объединений, содержащих по три математических выражения. Далее для отыскания решения, то есть пары (или набора пар) чисел x и y, которые при подстановке обращают исходные уравнения системы в верные числовые равенства, можно действовать двумя способами. Ввиду неочевидности конечных решений в полученной системе попробуем её преобразовать, помятуя, что символ системы – фигурная скобка – обозначает требование одновременного выполнения
Оглавление

Задание

Решите систему уравнений:

Решение

Рассмотрим сначала первое уравнение системы. Перенесём число 2 в левую его часть и попробуем разложить её на множители при помощи группировки:

x²y + 2x² – y – 2 = x²·(y + 2) – (y + 2) = (y + 2)·(x² – 1) = (y + 2)·(x – 1)·(x + 1)

Во втором уравнении системы перенесём число 4 влево и тоже выполним группировку:

y²x + y² – 4x – 4 = y²·(x + 1) – 4·(x + 1) = (x + 1)·(y² – 4) = (x + 1)·(y – 2)·(y + 2)

Таким образом

-2

Произведение нескольких множителей равно нулю, если хотя бы один из них равен нулю, следовательно:

-3

Мы получили систему из двух объединений, содержащих по три математических выражения. Далее для отыскания решения, то есть пары (или набора пар) чисел x и y, которые при подстановке обращают исходные уравнения системы в верные числовые равенства, можно действовать двумя способами.

Способ 1 (аналитический)

Ввиду неочевидности конечных решений в полученной системе попробуем её преобразовать, помятуя, что символ системы – фигурная скобка – обозначает требование одновременного выполнения нескольких условий и по смыслу соответствует логическому умножению, а символ объединения (квадратная скобка) означает необходимость выполнения хотя бы одного из требований и подобен логическому сложению. Присвоим каждому выражению буквенное обозначение:

-4

Заменив логические умножение и сложение на «обычные», можно рассматриваемую систему объединений формально представить в виде:

(A + B + C)·(D + E + F)

Данное описание также формально можно преобразовать как обычное алгебраическое – раскрыть в нём скобки:

(A + B + C)·(D + E + F) = A·D + A·E + A·F + B·D + B·E + B·F + C·D + C·E + C·F

Отсюда получается, что система из двух объединений должна быть равносильна объединению из девяти систем:

-5

Для дальнейшего удобства преобразований каждой системе из этой девятки присвоено условное буквенное обозначение.

1) Легко видеть, что (а) идентична (и), поэтому может быть убрана из записи.

2) Системы (б) и (г) не имеют решения, то есть равносильны пустому множеству:

-6

Поскольку эти пустые множества оказываются входящими в объединение, то их тоже можно просто убрать из записи.

3) Обратим теперь внимание на систему (в). В аспекте поиска решения она имеет следующий смысл: при подстановке y = –2 и произвольного числа в качестве переменной x исходная система даёт два верных числовых равенства, поэтому можно записать, что

-7

То же самое относится и к (ж):

-8

Таким образом объединение девяти систем преобразуется к виду:

-9

4) Рассмотрим системы (в), (е) и (и). Решения, описываемые последними двумя,входят в множество решений, описываемых (в), поэтому (е) и (и) из записи объединения можно убрать как избыточные. Аналогичная ситуация наблюдается с (ж) и (з) – в данном случае следует оставить только (ж). Таким образом:

-10

Оставшееся объединение из трёх систем описывает все возможные варианты решений исходной системы уравнений: а) это либо пара чисел x = 1, y = 2, б) либо x = –1 и любое действительное число в качестве переменной y, в) либо y = –2 и любое действительное x.

Способ 2 (графический)

Построим график первого объединения системы, заодно являющийся графиком первого уравнения исходной системы x²y + 2x² – y = 2 . Он будет представлять из себя набор прямых линий: одной горизонтальной (y = –2) и двух вертикальных x = 1 и x = –1 (рис. 1).

Рис. 1.
Рис. 1.

Если построить график второго объединения системы, то он также будет совокупностью трёх линий, описываемых уравнениями x = –1, y = 2 и y = –2 (рис. 2).

Рис. 2.
Рис. 2.

Множество решений исходной системы уравнений на координатной плоскости будет представлять общие точки (результат наложения друг на друга) построенных графиков объединений, то есть линию x= –1 (означает вариант решения x = –1, y ∈ ℝ), линию y = –2 (вариант y = –2, x ∈ ℝ) и отдельную точку с координатами (1; 2) (вариант x = 1, y = 2) (рис. 3).

Рис. 3.
Рис. 3.

Ответ

а) x = 1, y = 2, б) x = –1, y ∈ ℝ, в) y = –2, x ∈ ℝ.

Другие задания, имеющиеся на канале, можно найти здесь:

Школьные задачи | Широков Александр | Дзен

См. также:

О равносильных преобразованиях (для школьников)
Широков Александр10 января 2022

-14

Перечень публикаций на канале
Широков Александр2 декабря 2020