Найти в Дзене
Широков Александр

«Конструктор» для графиков функций-4

Четвёртая публикация из цикла, посвящённого советам по построению графиков функций. С предыдущими можно ознакомиться здесь: 1. Правила 1(ш)-8(ш) / 2. Правила 1(ф)-3(ф) / 3. Правила 4(ф)-6(ф) Следствием Правила 6(ф) является другой приём, требующий отдельного рассмотрения. График функции представляет собой часть графика y = f(x) при x ⩾ a. В задании А-74 было показано, что при соблюдении условия x ⩾ a справедливо равенство поэтому замена x таким выражением в f(x) накладывает ограничение на допустимые значения аргумента. Строго говоря для этого достаточно в самом выражении заменить только какой-то один x : 1) Возьмём функцию y = 2|x| + x 2) Потребуем, чтобы аргумент мог принимать только значения, удовлетворяющие условию x ⩾ –1: График получившейся функции изображён на рисунке: Хотелось бы отметить, что такую линию можно описать по другому – при помощи системы, которой равносильно приведённое выражение для функции: Как видно, Правило 7(ф) позволяет «втиснуть» дополнительное условие в вы
Оглавление

Четвёртая публикация из цикла, посвящённого советам по построению графиков функций. С предыдущими можно ознакомиться здесь:

1. Правила 1(ш)-8(ш) / 2. Правила 1(ф)-3(ф) / 3. Правила 4(ф)-6(ф)

Следствием Правила 6(ф) является другой приём, требующий отдельного рассмотрения.

Правило 7(ф)

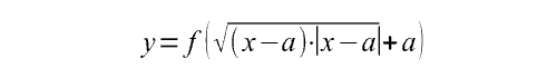
График функции

-2

представляет собой часть графика y = f(x) при xa.

-3

В задании А-74 было показано, что при соблюдении условия xa справедливо равенство

-4

поэтому замена x таким выражением в f(x) накладывает ограничение на допустимые значения аргумента. Строго говоря для этого достаточно в самом выражении заменить только какой-то один x :

1) Возьмём функцию

y = 2|x| + x

2) Потребуем, чтобы аргумент мог принимать только значения, удовлетворяющие условию x ⩾ –1:

-5

График получившейся функции изображён на рисунке:

-6

Хотелось бы отметить, что такую линию можно описать по другому – при помощи системы, которой равносильно приведённое выражение для функции:

-7

Как видно, Правило 7(ф) позволяет «втиснуть» дополнительное условие в выражение самой функции, неявно заложив его там. За счёт этого становится возможным не прибегать к описанию через систему, хотя такой подход может сделать запись более громоздкой.

Разумеется, возможна разновидность правила, где на область определения налагается требование вида xa :

-8

Условие, накладываемое Правилом 7(ф), выражается нестрогим неравенством. Если же при подборе выражения функции понадобится неравенство строгое, то можно использовать другой приём.

Правило 8(ф)

График функции

-9

представляет собой часть графика y = f(x) при x > b (также подразумевается, что a > 0 и a ≠ 1).

-10

Приём проистекает из следующих простых преобразований, верных при соблюдении требования x > b (выражение под логарифмом должно быть положительным):

-11

Правило 9(ф)

График функции

-12

представляет собой часть графика y = f(x) при axb.

-13

Покажем, почему это так. Аргумент арксинуса может иметь значения от –1 до 1, поэтому

-14

⇔ 0 ⩽ 2·(xa) ⩽ 2·(ba) ⇔

⇔ 0 ⩽ xabaaxb

Поскольку при –1 ⩽ t ⩽ 1 соблюдается равенство t = sin(arcsin t), выполним преобразования вот такого выражения:

-15

Таким образом

-16

Итак, разобранный приём позволяет искусственно ограничить функцию в пределам значений аргумента на отрезке [a; b]. По аналогии с Правилом 7(ф) достаточно в выражении f(x) заменить только какой-то один x .

Частным случаем Правила 9(ф)является отрезок [–a; a]:

y = f(a·sin(arcsin(x/a)))

Простейший вариант подобной функции разбирался в задании А-62:

-17

-18

Перечень публикаций на канале
Широков Александр2 декабря 2020

Сведения о новых статьях блога можно найти в Telegram-канале Shuric_Himik

-19

Наука
7 млн интересуются