Добавить в корзинуПозвонить
Найти в Дзене
Широков Александр

Школьные задачи / Алгебра / А-74

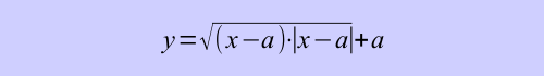
Построить график функции (a – постоянное действительное число): Найдём область определения данной в условии задачи функции y(x). Её выражение будет иметь смысл, когда под знаком корня стоит неотрицательная величина, то есть если (x – a)·|x – a| ⩾0 Так как модуль |x – a| всегда неотрицателен, то чтобы приведённое неравенство выполнялось, необходимо потребовать x – a ⩾ 0 или x ⩾ a Заметим, что при выполнении этого условия подмодульное выражение x – a в y(x) не будет принимать отрицательных значений. Таким образом Полученный результат говорит о том, что график функции y(x) представляет собой график линейной функции y = x, ограниченный слева вертикальной прямой x = a. Другие задания, имеющиеся на канале, можно найти здесь: Сведения о новых статьях блога можно найти в Telegram-канале Shuric_Himik
Оглавление

Задание

Построить график функции (a – постоянное действительное число):

Решение

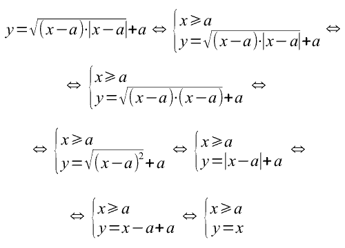
Найдём область определения данной в условии задачи функции y(x). Её выражение будет иметь смысл, когда под знаком корня стоит неотрицательная величина, то есть если

(xa)·|xa| ⩾0

Так как модуль |xa| всегда неотрицателен, то чтобы приведённое неравенство выполнялось, необходимо потребовать

xa ⩾ 0 или xa

Заметим, что при выполнении этого условия подмодульное выражение xa в y(x) не будет принимать отрицательных значений. Таким образом

-2

Полученный результат говорит о том, что график функции y(x) представляет собой график линейной функции y = x, ограниченный слева вертикальной прямой x = a.

Ответ

-3

Другие задания, имеющиеся на канале, можно найти здесь:

Школьные задачи | Широков Александр | Дзен

-4

Перечень публикаций на канале
Широков Александр2 декабря 2020

Сведения о новых статьях блога можно найти в Telegram-канале Shuric_Himik