Добавить в корзинуПозвонить
Найти в Дзене
In ФИЗМАТ

ДВИ МГУ по математике. Разбор первого потока 11.07.2025

В целом, если готовиться только на уровень ЕГЭ профиль, посильны задачи 1, 3, 4, 5. Задача 2, в принципе, на умение работать с последовательностями и прогрессиями, но вот переход к геометрической прогрессии не каждый увидит (что эту n нужно разбросать по сумме). Хитро Задание 6 доступно тем, кто готовился к олимпиадам хорошего уровня и знаком с неравенствами. Тут уже конкретно отсев - знаешь / не знаешь. Задание 7, по-честному, не сильно сложная стереометрия. Если догадаться до плоскостей. Плюс - минус хороший профиль может сделать, но, именно если спускаться на уровень ЕГЭ, штука сложновата, поэтому не включила в список. Задание №1 совсем плюшевое, №№ 3, 4 - уравнение и неравенство - отточены к ЕГЭ. Тут никаких сильных хитростей не было. Ну и №5 - планиметрия, известная конструкция с удвоением медианы (помню, что попадалась в этом году. Либо статград, либо пробники. Где-то видела).
-2
-3
-4
-5
-6
-7

В целом, если готовиться только на уровень ЕГЭ профиль, посильны задачи 1, 3, 4, 5.

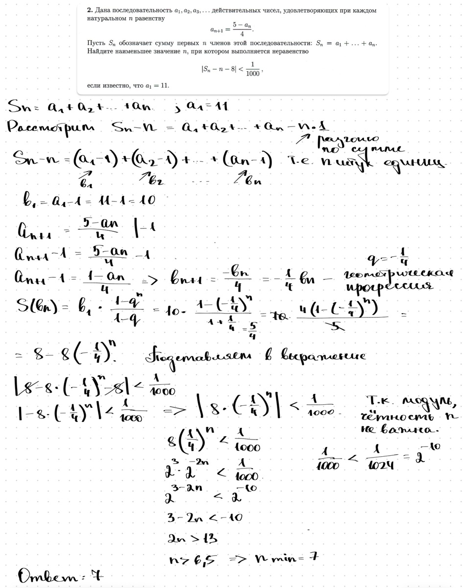
Задача 2, в принципе, на умение работать с последовательностями и прогрессиями, но вот переход к геометрической прогрессии не каждый увидит (что эту n нужно разбросать по сумме). Хитро

Задание 6 доступно тем, кто готовился к олимпиадам хорошего уровня и знаком с неравенствами. Тут уже конкретно отсев - знаешь / не знаешь.

Задание 7, по-честному, не сильно сложная стереометрия. Если догадаться до плоскостей. Плюс - минус хороший профиль может сделать, но, именно если спускаться на уровень ЕГЭ, штука сложновата, поэтому не включила в список.

Задание №1 совсем плюшевое, №№ 3, 4 - уравнение и неравенство - отточены к ЕГЭ. Тут никаких сильных хитростей не было. Ну и №5 - планиметрия, известная конструкция с удвоением медианы (помню, что попадалась в этом году. Либо статград, либо пробники. Где-то видела).

-8