Добавить в корзинуПозвонить
Найти в Дзене
Широков Александр

Школьные задачи / Алгебра / А-66

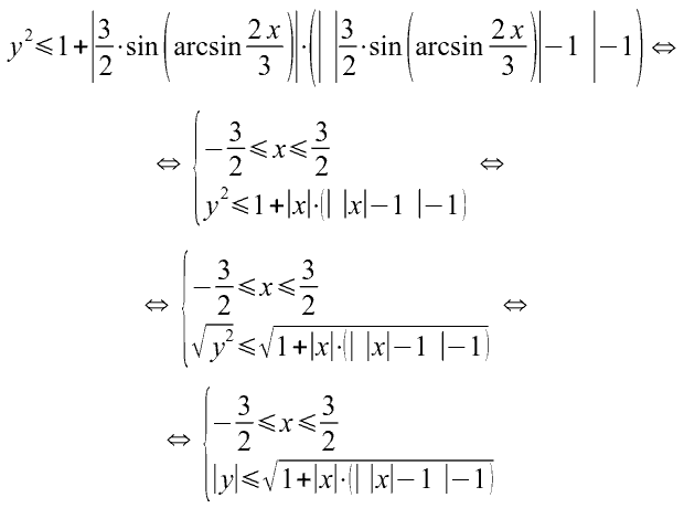
Изобразите на плоскости множество точек, координаты которых соответствуют требованию: Прежде всего следует обратить внимание на то, что поскольку функция арксинуса определена не для любого значения аргумента, неравенство имеет смысл, если –1 ⩽ 2x/3 ⩽ 1 или –³/₂ ⩽ x ⩽ ³/₂ Это означает, что сама область, изображающая множество точек, на координатной плоскости не будет выходить за пределы линий x = ±³/₂. Рассмотрим отдельно правую часть исходного неравенства. При решении задачи А-62 было установлено, что при a > 1 и –a ⩽ x ⩽ a справедливо выражение a·sin(arcsin(x/a)) = x В нашем случае a = ³/₂ , следовательно ³/₂·sin(arcsin(2x/3)) = x и при x ∈[–³/₂; ³/₂] правая часть исходного неравенства может быть упрощена до 1 + |x|·(| |x| – 1 | – 1) В задании А-63 рассматривалось построение графика функции y= 1 + |x|·(| |x| – 1 | – 1) , из которого видно, что сама функция не принимает отрицательных значений на всей своей области определения, охватывающей все действительные значения аргумента (см. та
Оглавление

Задание

Изобразите на плоскости множество точек, координаты которых соответствуют требованию:

Решение

Прежде всего следует обратить внимание на то, что поскольку функция арксинуса определена не для любого значения аргумента, неравенство имеет смысл, если

–1 ⩽ 2x/3 ⩽ 1 или –³/₂ ⩽ x ⩽ ³/₂

Это означает, что сама область, изображающая множество точек, на координатной плоскости не будет выходить за пределы линий x = ±³/₂.

Рассмотрим отдельно правую часть исходного неравенства. При решении задачи А-62 было установлено, что при a > 1 и –axa справедливо выражение

a·sin(arcsin(x/a)) = x

В нашем случае a = ³/₂ , следовательно

³/₂·sin(arcsin(2x/3)) = x

и при x ∈[–³/₂; ³/₂] правая часть исходного неравенства может быть упрощена до

1 + |x|·(| |x| – 1 | – 1)

В задании А-63 рассматривалось построение графика функции

y= 1 + |x|·(| |x| – 1 | – 1) ,

из которого видно, что сама функция не принимает отрицательных значений на всей своей области определения, охватывающей все действительные значения аргумента (см. также разбор задания А-64). Из этого следует, что исходное неравенство в задании равносильно следующей системе неравенств:

-2

Как видно, для дальнейшего изображения множества точек необходимо построить график для

-3

Ранее в задаче А-65 такая функция уже была рассмотрена. Как указывалось выше, применительно к текущему заданию её график будет ограничен линиями x = ±³/₂ (рис. 1).

Рис. 1.
Рис. 1.

Теперь остаётся вспомнить правила, сформулированные в комментариях к задачам А-25 (применительно к рассматриваемому здесь упражнению это позволит построить график уравнения

-5

) и А-27, чтобы изобразить искомое множество, которое представляет собой круг с примыкающими к ему с двух сторон равнобедренными прямоугольными треугольниками, а в целом получившаяся фигура напоминает завёрнутую в фантик конфету.

Ответ

-6

Другие задания, имеющиеся на канале, можно найти здесь:

Школьные задачи | Широков Александр | Дзен

-7

Перечень публикаций на канале
Широков Александр2 декабря 2020