Добавить в корзинуПозвонить
Найти в Дзене
Широков Александр

Школьные задачи / Алгебра / А-63

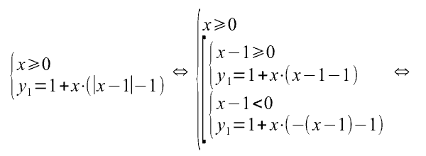
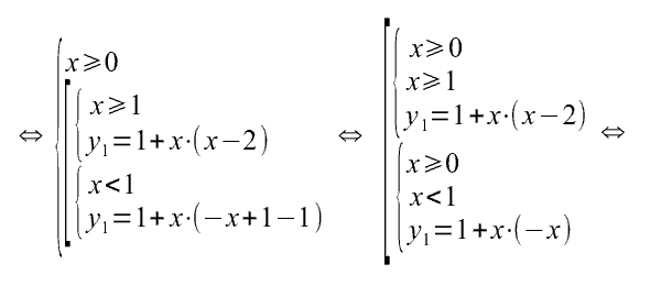
Построить график функции y = 1 + |x|·(| |x| – 1 | – 1) Прежде всего заметим, что выражение данной в условии задачи функции y(x) не имеет никаких ограничений, которые следовало бы наложить на возможные значения её аргумента, то есть областью определения y(x) является всё множество действительных чисел. Поскольку
|–x| = |x|, то другим важным для решения обстоятельством является то, что y(–x) = y(x) , иными словами функция y(x) обладает свойством чётности и её график симметричен относительно оси ординат. Благодаря этому достаточно рассмотреть построение графика при x ⩾ 0, но в этом случае |x| = x и выражение y(x) упростится: y₁ = 1 + x·(|x – 1| – 1) Раскроем оставшееся под модулем выражение: Полученные результаты говорят о следующем. Во-первых, при x ⩾ 1 график y₁(x) (а равно и график y(x) ) совпадает в графиком функции (x – 1)², то есть представляет собой квадратичную параболу y = x², смещённую на единицу вправо (рис. 1), в сторону положительных значений оси абсцисс(с учётом требования
Оглавление

Задание

Построить график функции

y = 1 + |x|·(| |x| – 1 | – 1)

Решение

Прежде всего заметим, что выражение данной в условии задачи функции y(x) не имеет никаких ограничений, которые следовало бы наложить на возможные значения её аргумента, то есть областью определения y(x) является всё множество действительных чисел. Поскольку
|–
x| = |x|, то другим важным для решения обстоятельством является то, что

y(–x) = y(x) ,

иными словами функция y(x) обладает свойством чётности и её график симметричен относительно оси ординат. Благодаря этому достаточно рассмотреть построение графика при x ⩾ 0, но в этом случае |x| = x и выражение y(x) упростится:

y₁ = 1 + x·(|x – 1| – 1)

Раскроем оставшееся под модулем выражение:

-2
-3

Полученные результаты говорят о следующем.

Во-первых, при x ⩾ 1 график y₁(x) (а равно и график y(x) ) совпадает в графиком функции (x – 1)², то есть представляет собой квадратичную параболу y = x², смещённую на единицу вправо (рис. 1), в сторону положительных значений оси абсцисс(с учётом требования x ⩾ 1 получается правая ветвь параболы).

Рис. 1.
Рис. 1.

Во-вторых, на полуинтервале x ∈ [0; 1) график y₁(x) совпадает с графиком
y = 1 – x² ,являющимся квадратичной параболой с опущенными вниз ветвями и поднятой вверх на единицу (в сторону положительных значений оси ординат).

Для получения графика y(x) остаётся отразить относительно оси ординат построенную для y₁(x) линию.

Ответ

-5

Другие задания, имеющиеся на канале, можно найти здесь:

Школьные задачи | Широков Александр | Дзен

-6

Перечень публикаций на канале
Широков Александр2 декабря 2020