Добавить в корзинуПозвонить
Найти в Дзене
Широков Александр

Школьные задачи / Алгебра / А-65

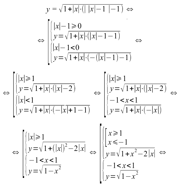
Построить график функции Начнём с нахождения области определения заданной функции y(x). Её выражение будет иметь смысл если 1 + |x|·(| |x| – 1 | – 1) ⩾ 0 Перепишем это условие в виде |x|·(| |x| – 1 | – 1) ⩾ –1 В задании А-64 было установлено, что неравенство |x|·(| |x| – 1 | – 1) ⩾ a верно при любом x, если a ⩽ –1. Из этого факта следует, что подкоренное выражение функции y(x) всегда будет неотрицательным и область её определения – всё множество действительных чисел. Проведём с y(x) ряд равносильных преобразований, раскрыв подмодульные выражения: Полученное объединение из трёх систем означает следующее. При x ⩾ 1 график y(x) совпадает с графиком линейной функции y = x – 1 (рис. 1). Когда x ⩽ –1, то выражение y(x) совпадает с y = –x – 1, график которой также представляет прямую линию. В случае же –1 < x < 1 функция y(x) описывает «верхнюю» половину окружности с центром в начале координат и радиусом, равным единице (см. разбор задания А-21). Решение задачи можно немного упростить, есл
Оглавление

Задание

Построить график функции

Решение

Начнём с нахождения области определения заданной функции y(x). Её выражение будет иметь смысл если

1 + |x|·(| |x| – 1 | – 1) ⩾ 0

Перепишем это условие в виде

|x|·(| |x| – 1 | – 1) ⩾ –1

В задании А-64 было установлено, что неравенство

|x|·(| |x| – 1 | – 1) ⩾ a

верно при любом x, если a ⩽ –1. Из этого факта следует, что подкоренное выражение функции y(x) всегда будет неотрицательным и область её определения – всё множество действительных чисел. Проведём с y(x) ряд равносильных преобразований, раскрыв подмодульные выражения:

-2
-3

Полученное объединение из трёх систем означает следующее. При x ⩾ 1 график y(x) совпадает с графиком линейной функции y = x – 1 (рис. 1).

Рис. 1.
Рис. 1.

Когда x ⩽ –1, то выражение y(x) совпадает с y = –x – 1, график которой также представляет прямую линию. В случае же –1 < x < 1 функция y(x) описывает «верхнюю» половину окружности с центром в начале координат и радиусом, равным единице (см. разбор задания А-21).

Ответ

-5

Комментарий

Решение задачи можно немного упростить, если обратить внимание на чётность y(x) (и, соответственно, на симметричность её графика относительно оси ординат), подобно тому, как это было сделано в разборе задания А-63. Если принять, что x ⩾ 0, то

-6
-7

Другие задания, имеющиеся на канале, можно найти здесь:

Школьные задачи | Широков Александр | Дзен

-8

Перечень публикаций на канале
Широков Александр2 декабря 2020