Добавить в корзинуПозвонить
Найти в Дзене
Широков Александр

Школьные задачи / Алгебра / А-64

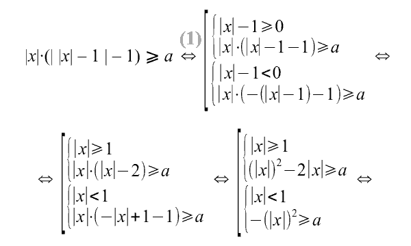
При каких значения параметра a неравенство |x|·(| |x| – 1 | – 1) ⩾ a выполняется при любом значении x ? Проведём с неравенством равносильные преобразования: В приведённых записях переход (1) представляет рассмотрение разных знаков подмодульного выражения |x| – 1 . На стадии (2) расписано решение неравенства |x| ⩾ 1, этап (3) – замена системы из неравенства и объединения неравенств на объединение из двух систем. С перехода (4) выполняется выделение полного квадрата в неравенствах x² – 2x ⩾ a и x² + 2x ⩾ a. Далее удобнее рассмотреть каждую из трёх систем получившегося объединения по отдельности. а) x ⩾ 1 При таких значения переменной x исходное неравенство преобразуется к виду (x – 1)² – (1 + a) ⩾ 0 , где левая его часть есть разность двух чисел: (x – 1)² и (1 + a). В рассматриваемом случае (x ⩾ 1) уменьшаемое (x – 1)² всегда принимает значения большие или равные нулю. Значит, чтобы вся разность (x – 1)² – (1 + a) всегда была неотрицательной необходимо, чтобы вычитаемое (1 + a) было мень
Оглавление

Задание

При каких значения параметра a неравенство

|x|·(| |x| – 1 | – 1) ⩾ a

выполняется при любом значении x ?

Решение

Проведём с неравенством равносильные преобразования:

-2

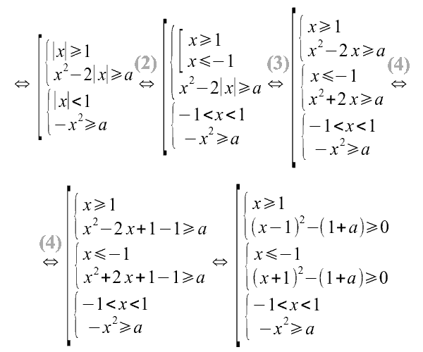
В приведённых записях переход (1) представляет рассмотрение разных знаков подмодульного выражения |x| – 1 . На стадии (2) расписано решение неравенства |x| ⩾ 1, этап (3) – замена системы из неравенства и объединения неравенств на объединение из двух систем. С перехода (4) выполняется выделение полного квадрата в неравенствах x² – 2xa и x² + 2xa.

Далее удобнее рассмотреть каждую из трёх систем получившегося объединения по отдельности.

а) x ⩾ 1

При таких значения переменной x исходное неравенство преобразуется к виду

(x – 1)² – (1 + a) ⩾ 0 ,

где левая его часть есть разность двух чисел: (x – 1)² и (1 + a). В рассматриваемом случае (x ⩾ 1) уменьшаемое (x – 1)² всегда принимает значения большие или равные нулю. Значит, чтобы вся разность

(x – 1)² – (1 + a)

всегда была неотрицательной необходимо, чтобы вычитаемое (1 + a) было меньше нуля или хотя бы равным ему:

1 + a ⩽ 0

Отсюда вытекает, что для x ⩾ 1 исходное неравенство будет выполняться в случае если

a ⩽ –1

б) x ⩽–1

Здесь исходное неравенство может быть представлено как

(x +1)² – (1 + a) ⩾ 0 ,

где слева стоит двух чисел: (x +1)² и (1 + a). Если x ⩽–1 , то уменьшаемое (x + 1)² всегда принимает значения большие или равные нулю. Значит, чтобы разность

(x +1)² – (1 + a)

всегда была неотрицательной нужно потребовать, чтобы вычитаемое (1 + a) было меньше или равно нулю:

1 + a ⩽ 0 ,

то есть если x ⩽–1, то исходное неравенство будет гарантировано выполняться в случае, когда

a ⩽ –1.

в) –1 < x < 1

В этом случае исходное неравенство можно преобразовать к виду

x² ⩾ a

Из условия –1 < x < 1 вытекает, что

–1 < –x² ⩽ 0 ,

а также то, что неравенство –x² ⩾ a (как и исходное неравенство) всегда будет справедливым, если a ⩽ –1.

Таким образом из рассмотренных рассуждений вытекает, что при a ⩽ –1 приведённое в условии задачи неравенство всегда будет справедливым для любых значений x.

Ответ

a ⩽ –1

Комментарий

Задачу можно решить графически. Для этого следует построить график функции

y₁(x) = |x|·(| |x| – 1 | – 1) ,

а затем определить, при каких значениях a точки y₁(x) оказываются не ниже линии

y₂(x) = a

Ранее в задании А-63 рассматривалось построение графика функции

y₀(x) = 1 + |x|·(| |x| – 1 | – 1)

Если его «спустить вниз» на единицу (сдвинуть в сторону отрицательных значений ординат), то как раз получится график y₁(x) (рис. 1), из которого видно, что все его точки не имеют ординат, меньших –1. Отсюда напрямую вытекает ответ к задаче: a ⩽ –1.

Рис. 1.
Рис. 1.

Другие задания, имеющиеся на канале, можно найти здесь:

Школьные задачи | Широков Александр | Дзен

-4

Перечень публикаций на канале
Широков Александр2 декабря 2020