Добавить в корзинуПозвонить
Найти в Дзене
Физика-блюз

Новости из модифицированного мира Калуцы

Вообще-то к очередной публикации первоначально готовилась другая статья, но две предыдущие заметки, посвященные гипотезе Теодора Калуцы, «потребовали» продолжения «банкета». Дело в том, что модификация этой гипотезы вызвала естественный интерес к выяснению того, как предложенные изменения сказались на понятии пространственно-временного интервала между событиями. Например, в свое время, вмешательство Минковского сделало мир (3+1) неевклидовым. Напомню, что модификация гипотезы Калуцы состояла в выборе, в качестве пятой координаты мира, массы тела μ (1+3+1) вместо предложенной самим Калуцей еще одной (четвертой по счету) пространственной координаты (4+1). Хотелось бы разобраться с тем, как теперь можно корректно записать выражение для интервала между событиями, происходящими в мире пяти измерений, и понять какие именно события он связывает, или разделяет. Для упрощения будем считать, что эти события происходят в одномерном пространстве (dy = dz = 0), то есть состоят в том, что наблюдаемы

Вообще-то к очередной публикации первоначально готовилась другая статья, но две предыдущие заметки, посвященные гипотезе Теодора Калуцы, «потребовали» продолжения «банкета». Дело в том, что модификация этой гипотезы вызвала естественный интерес к выяснению того, как предложенные изменения сказались на понятии пространственно-временного интервала между событиями. Например, в свое время, вмешательство Минковского сделало мир (3+1) неевклидовым.

Напомню, что модификация гипотезы Калуцы состояла в выборе, в качестве пятой координаты мира, массы тела μ (1+3+1) вместо предложенной самим Калуцей еще одной (четвертой по счету) пространственной координаты (4+1).

Хотелось бы разобраться с тем, как теперь можно корректно записать выражение для интервала между событиями, происходящими в мире пяти измерений, и понять какие именно события он связывает, или разделяет.

Для упрощения будем считать, что эти события происходят в одномерном пространстве (dy = dz = 0), то есть состоят в том, что наблюдаемый объект перемещается вдоль оси X.

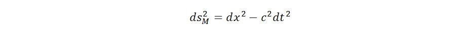
Как известно, в 4-мерном мире Минковского (3+1) в этом случае квадрат интервала между двумя бесконечно близкими событиями, происходящими с объектом, равен:

-2

Запишем подобное выражение также и для квадрата интервала в мире Калуцы. Сделаем это с учетом замечания Ландау о том, что «... при образовании квадрата интервала квадраты разностей [дифференциалов] координат по различным осям [пространству и времени] суммируются не с одинаковыми, а с различными знаками» (Ландау Л. Д., Лифшиц Е. М. Теоретическая физика. Т. II. Теория поля. М., 1988, с.18.):

-3

В этом выражении k = 1,87·10^-26 м / кг – гравитационная постоянная Эйнштейна, а c = 3·10^8 м / с – скорость света.

Проанализируем его в отношении событий, происходящих с наблюдаемым объектом при соблюдении некоторых дополнительных ограничений (условий).

1. Если масса объекта не изменяется (dμ = 0; μ = μ0 = const), то анализируемое выражение преобразуется в хорошо знакомый интервал между событиями, происходящими в 4-мерном «пространстве-времени» Минковского. То есть этот интервал оказывается частным случаем модифицированного интервала Калуцы:

-4

Он описывает обычное механическое перемещение в пространстве (dx) объекта постоянной массы (μ0) с течением времени (dt), как смену двух следующих одно за другим событий. Первое из них состоит в том, что в данный момент времени, наблюдаемый объект находится в некоторой точке пространства, а второе событие - в том, что в следующее мгновение настоящего времени, тот же самый объект обнаруживается уже в другой точке пространства.

Если перемещение происходит с максимальной скоростью, равной скорости света, то рассматриваемый интервал обращается в нуль, так как в этом случае dx = cdt.

-5

2. Если не изменяется пространственная координата объекта (dx = 0; x = x0 = const), то это означает, что события происходят в одной и той же точке пространства, то есть – с покоящимся объектом. Однако время продолжает идти и для неподвижного объекта, что проявляется в изменении его массы, которое можно опосредованно наблюдать в тех или иных порожденных изменением массы процессах, и параметры которого, по всей вероятности, можно даже измерить непосредственно.

Таким образом, с неподвижным объектом происходят следующие события. В данный момент времени, наблюдаемый объект, находящийся в данной точке пространства, имеет одно значение массы. В следующее мгновение настоящего времени, объект обнаруживается в той же точке пространства, но уже с другим значением массы.

Квадрат интервала между указанными событиями равен:

-6

Обращение такого интервала в нуль, что происходит при условии равенства его вещественной и временной компонент друг другу kdμ = cdt, позволяет найти максимально возможную скорость процесса изменения массы объектов:

-7

3. И наконец, рассмотрим случай, когда временная координата нескольких объектов одна и та же, то есть в известном смысле можно говорить, что для них она не изменяется (dt= 0; t = t0) или, что все они находятся в одной точке времени. В этом случае наблюдатель фиксирует некоторое распределение в пространстве множества одновременно существующих объектов разной массы. Иначе говоря, сейчас здесь находится один объект, там в этот же момент времени - другой объект, а тут – еще и третий с четвертым.

Таким образом, в разные моменты времени наблюдатель фиксирует различные пространственные конфигурации множества сосуществующих объектов (мгновенные «снимки» распределения вещества в пространстве), что как раз и позволяет ему уверенно отличать один момент времени от другого, поскольку эти конфигурации изменяются с каждой сменой предыдущего мгновения настоящего следующим его мгновением.

Квадрат интервала между событиями, происходящими с множеством объектов в один и тот же момент времени, равен:

-8

Из условия одновременности происходящих событий, которому соответствует равенство нулю данного интервала, можно найти максимально возможное значение величины, которая формально имеет смысл линейной плотности вещества:

-9

И в завершение упомяну о том, что модифицированный мир Калуцы позволяет продемонстрировать гармоническую периодичность его пятой координаты μ, если учесть, что в «плоскости вещество-пространство» объекту можно сопоставить прямоугольник (или другую фигуру – «точку» конечных размеров, аналог материальной точки в классической физике), площадь которого пропорциональна произведению мгновенных значений его координат в этой плоскости: S = x(t)·μ(t). Поскольку указанные координаты изменяются совместно и согласованно, постольку физической эволюции объекта графически соответствует изменение площади этого прямоугольника с течением времени.

Несколько допущений аксиоматического характера, простые рассуждения по аналогии и элементарные математические преобразования приводят к следующему выражению для массы объекта:

-10

Другими словами, можно утверждать, что масса перемещающегося объекта пребывает в процессе гармонических «колебаний» (по образному выражению Вернера Гейзенберга объекты «zitterbewegung» - «вибрируют» или «дрожат») с частотой ω и амплитудой M относительно своего равновесного значения μ0.

В таком случае, ненаблюдаемость пятого измерения, помимо малости размерного коэффициента k(~ 10^-26), оказывается связанной еще и со свойством цикличности мира Калуцы по пятой координате, характеризующейся чрезвычайно малым периодом, или происходящим с огромной частотой.

Таким образом, пятая координата (масса μ) модифицированного мира Калуцы, действительно, может изменяться лишь в некоторых ограниченных пределах, то есть этот мир компактифицирован в своем пятом измерении.