Найти в Дзене
Светлана Маразенкова

По следам ЕГЭ по химии-2023

В сети начали появляться реальные варианты ЕГЭ по химии, прошедшего 26 мая. Никаких неприятных сюрпризов, всё как учили в течение целого года. Даже 34-я задача вполне себе адекватна, без молей элементарных частиц. Разберём здесь и сейчас вторую часть одного из известных вариантов. 29. Даны: оксид хрома (III), перманганат калия, нитрат калия, серная кислота, йодид кальция, гидрофосфат калия. ОВР протекает с образованием простого вещества и трёх солей. Если вы хотя бы раз писали ОВР с участием перманганата калия, то знаете, что он - типичный окислитель и восстанавливается в кислой среде с образованием двух (уже!) солей. Возьмём его и серную кислоту. В качестве восстановителя прекрасно подойдёт иодид кальция, который даст нам продукт окисления - элементарный иод, а ионы кальция станут солью. Итак: 5CaJ2 + 2KMnO4 + 8H2SO4 = 5J2 + 5CaSO4 + K2SO4 + 2MnSO4 + 8H2O С уравнениями электронного баланса, уверена, вы справитесь самостоятельно. 30. Из того же набора веществ нужно выбрать кислую с

В сети начали появляться реальные варианты ЕГЭ по химии, прошедшего 26 мая. Никаких неприятных сюрпризов, всё как учили в течение целого года. Даже 34-я задача вполне себе адекватна, без молей элементарных частиц. Разберём здесь и сейчас вторую часть одного из известных вариантов.

29. Даны: оксид хрома (III), перманганат калия, нитрат калия, серная кислота, йодид кальция, гидрофосфат калия. ОВР протекает с образованием простого вещества и трёх солей.

Если вы хотя бы раз писали ОВР с участием перманганата калия, то знаете, что он - типичный окислитель и восстанавливается в кислой среде с образованием двух (уже!) солей. Возьмём его и серную кислоту. В качестве восстановителя прекрасно подойдёт иодид кальция, который даст нам продукт окисления - элементарный иод, а ионы кальция станут солью. Итак:

5CaJ2 + 2KMnO4 + 8H2SO4 = 5J2 + 5CaSO4 + K2SO4 + 2MnSO4 + 8H2O

С уравнениями электронного баланса, уверена, вы справитесь самостоятельно.

30. Из того же набора веществ нужно выбрать кислую соль и ещё одно вещество. Реакция ионного обмена должна протекать с образованием осадка.

Кислая соль в наборе только одна - гидрофосфат калия. Кроме неё, на ионный обмен способны нитрат калия, серная кислота и иодид кальция. Перебрав их всех, понимаем, что лучшим вариантом, дающим осадок, будет иодид кальция. Сверимся с Таблицей растворимости и составим уравнение: CaJ2 + K2HPO4 = CaHPO4 + 2KJ

Ионные уравнения, думаю, составить самим - не проблема, ведь так?

31. Кремниевую кислоту прокалили. Твердый продукт реакции прокалили вместе с углём и ортофосфатом кальция. Полученное простое вещество прореагировало с избытком хлора. Продукт реакции растворили в избытке гидроксида бария.

Всё знакомо, правда?

1) H2SiO3 = H2O + SiO2

2) 3SiO2 + Ca3(PO4)2 + 5С = 2Р + 3CaSiO3 + 5CO

3) 2P + 5Cl2 = 2PCl5

4) И щелочной гидролиз бинарного соединения:

2PCl5 + 8Ba(OH)2 = 5BaCl2 + Ba3(PO4)2 + 8H2O

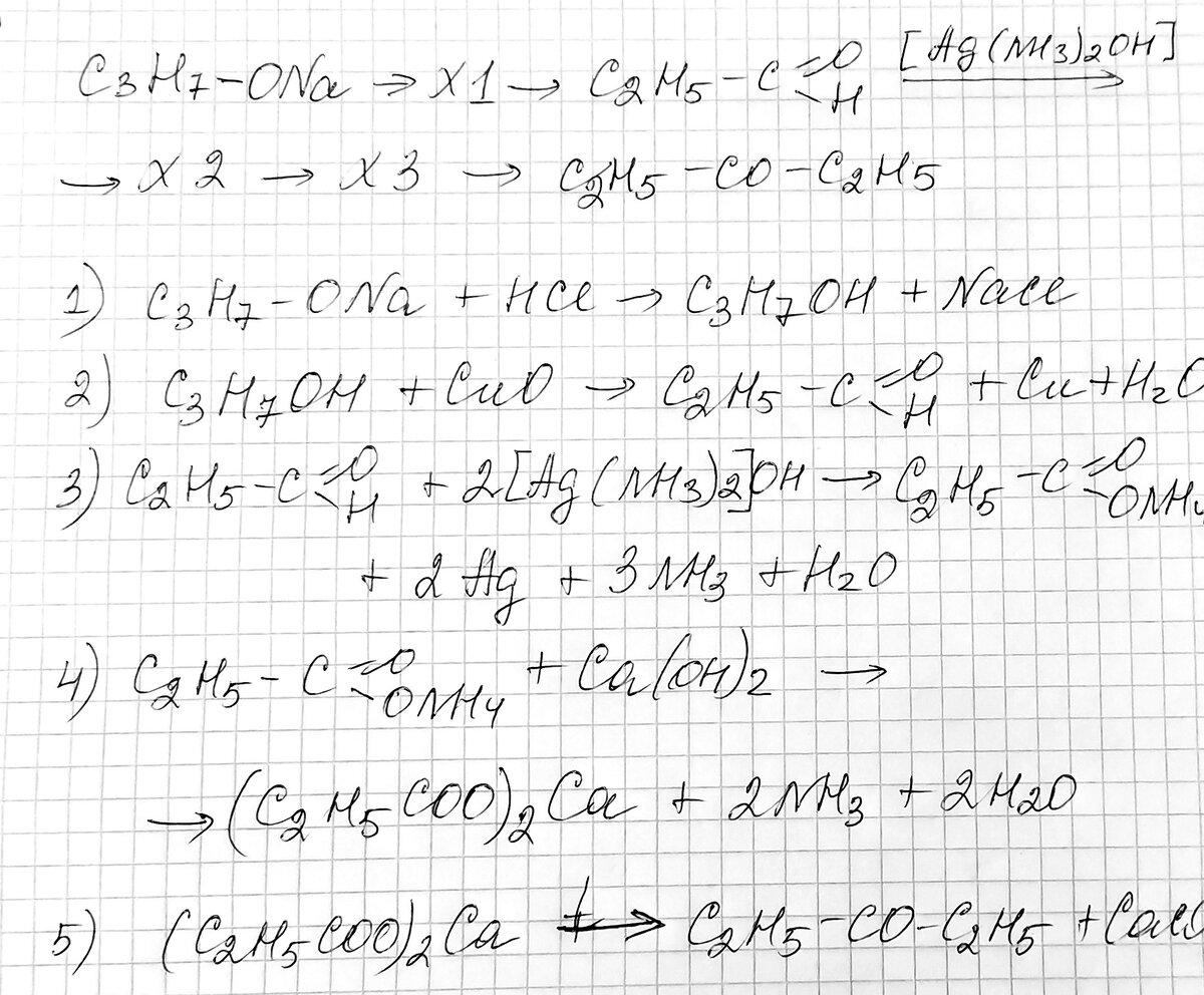
32.

Вполне понятная цепочка по органике
Вполне понятная цепочка по органике

33. При сгорании 25,7 г органического вещества образовалось 7,3 г хлороводорода, 7,2 г воды и 26,88 л (н.у.) углекислого газа. Известно, что функциональные группы в молекуле этого вещества максимально удалены друг от друга....напишите уравнение реакции вещества А с избытком водного раствора гидроксида калия.

По соотношению атомов углерода и водорода легко предположить наличие бензольного кольца и поместить функциональные группы максимально далеко друг от друга
По соотношению атомов углерода и водорода легко предположить наличие бензольного кольца и поместить функциональные группы максимально далеко друг от друга

34. Через 240 граммов 20 %-ного сульфата меди (II) пропустили сероводород. При этом массовая доля сульфата меди (II) в растворе уменьшилась до 2,15 %. К полученному раствору добавили 128 г 25 %-ого раствора гидроксида натрия. Определите массовую долю гидроксида натрия в конечном растворе после всех реакций.

План решения задачи:

1. Рассчитаем, сколько сульфата меди было в растворе изначально и запишем уравнение реакции с сероводородом.

2. Разберёмся с количествами всех веществ - участников реакции.

3. Определим, сколько сульфата меди осталось для взаимодействия с гидроксидом натрия.

4. Дальше всё просто.

Да, довольно объёмная, но вполне решаемая задача. Главное - найти того, кого обозначить за Х.
Да, довольно объёмная, но вполне решаемая задача. Главное - найти того, кого обозначить за Х.
-4