Найти в Дзене
Realt.by

44 тысячи долларов за участок на Вяче. Итоги большого земельного аукциона

Сегодня состоялся аукцион по продаже земельных участков в частную собственность граждан Беларуси для строительства жилых домов в Минском, Логойском и Березинском районах. О том, как прошли торги по лотам, читайте в нашем материале.

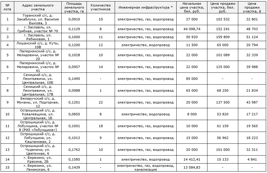
Всего на аукцион было предложено 15 лотов, из них 8 – в Минском районе, 5 – в Логойском и 2 – в Березинском районе.

В Минском районе земельные участки выставляли на аукцион Горанский, Лошанский, Папернянский и Сеницкий сельсоветы, а также г. Заславль.

Лидерами по количеству заявок на участки в Минском районе, впрочем, как и на февральском аукционе, стали земельные наделы, расположенные примерно в 15 км от Минска в д. Нелидовичи Папернянского сельсовета. За участок № 41 боролись 14 человек, а за участок № 20 - 10 человек. Земельные наделы насчитывают по 10 соток, оснащены электричеством, газом и водопроводом и были выставлены на торги по одинаковой начальной цене – за 22 000 рублей каждый.

В ходе торгов цена на участок № 41 (он на карте) поднялась до 125 000 рублей, или 39 988 долларов по курсу Нацбанка на день проведения аукциона. Стоимость участка № 20 выросла до 101 089 рублей, или 32 339 долларов.

Напомним, что на аукционе в феврале в Нелидовичах продавали 3 участка. В ходе торгов цена на участок № 42 поднялась до 91 899 рублей, или 28 926 долларов.

Стоимость участка № 43 выросла до 84 100 рублей, или 26 472 долларов. Участок № 44 подорожал до 89 000 рублей, или 28 014 долларов. За 2 участка торговались по 24 человека, еще за один – 21 заявитель.

Хорошим спросом пользовались на аукционе и участки в Заславле. На земельный надел № 70 на ул. Грибной претендовали 8 человек. Площадь участка оставляет 11 соток. Он оснащен водой, газом и электричеством.

При начальной цене 50 920 рублей он продан за 159 809 рублей, или 51 124 доллара.

Двенадцать заявок было подано и на участок в д. Куты Лошанского сельсовета. Десять заявлений поступило на участок в д. Закаблуки Горанского сельсовета.

Самое большое количество заявок на участки в Логойском районе поступило на лот № 9 - 22 . Земельный надел расположен в д. Мочаны на ул. Подгорной, 12, Беларучского сельсовета.

Участок насчитывает 12 соток, оснащен электричеством, газом и водой и был оценен в 20 000 рублей. Цена на него в ходе торгов выросла до 137 500 рублей, или 43 987 долларов.

Восемнадцать человек претендовали на участок № 8 в д. Лобунщина (РИЗ «Лобунщина») Острошицкого сельсовета. Земельный надел в 10 соток был оценен в 10 000 рублей. Он оснащен электричеством, газом и водой. Участок удалось продать за 61 159 рублей, или 19 565 долларов.

Березинский район выставлял участки в г. Березино. На один на ул. Красина было подано одно заявление. Еще на один земельный надел на ул. Ленинской заявок не поступило.

Более подробную информацию о лотах и ценах продаж участков смотрите в таблице.

-2

Организатором аукциона выступил Минский областной центр инвестиций и приватизации.