Добавить в корзинуПозвонить
Найти в Дзене

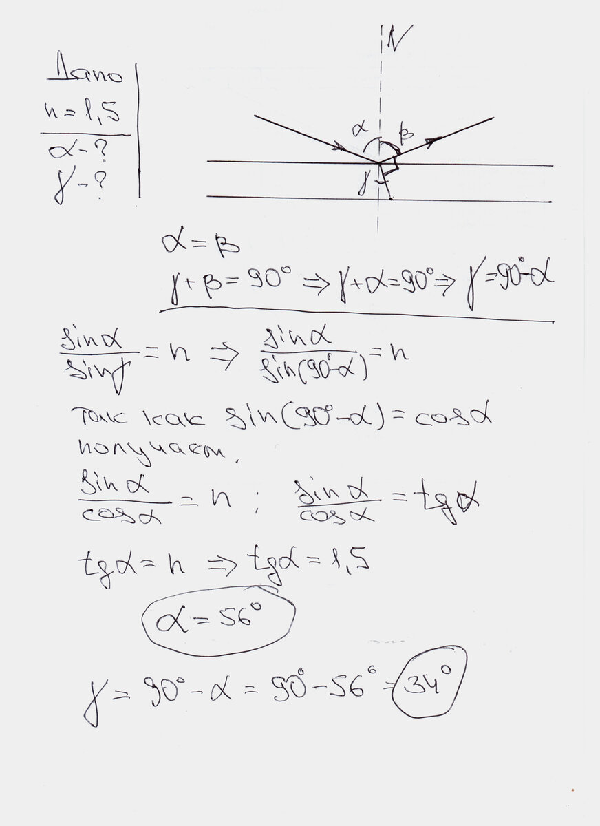
Глава 18, задача 3.

Задача: Луч света направлен из воздуха в стекло (n=1.5). Найти углы падения и преломления, если угол между отражённым и преломлённым лучами равен 90 градусов. Решение: Как часто бывает, задача на оптику решается с помощью чертежей, геометрии и тригонометрических формул. Исходя из законов преломления света, мы знаем что отношение синуса угла падения к синусу угла преломления равно соотношению относительного показателя преломления второй среды по отношению к первой это в нашей задаче это n=1,5. На чертеже мы рисуем три луча, которые находятся в одной плоскости. Первый падающий луч с углом падения альфа(к сожалению в данном редакторе нет возможности вставлять спецсимволы, поэтому пишу словами). Второй отражённый луч с углом отражения бета. Согласно закона отражения света, угол падения равен углу отражения, соответственно альфа = бета. Третий луч преломленный с углом преломления гамма. Далее внимательно читаем и смотрим на чертёж. Согласно условия угол между бета и гамма равен 90 градусов.

Задача: Луч света направлен из воздуха в стекло (n=1.5). Найти углы падения и преломления, если угол между отражённым и преломлённым лучами равен 90 градусов.

Решение: Как часто бывает, задача на оптику решается с помощью чертежей, геометрии и тригонометрических формул. Исходя из законов преломления света, мы знаем что отношение синуса угла падения к синусу угла преломления равно соотношению относительного показателя преломления второй среды по отношению к первой это в нашей задаче это n=1,5. На чертеже мы рисуем три луча, которые находятся в одной плоскости. Первый падающий луч с углом падения альфа(к сожалению в данном редакторе нет возможности вставлять спецсимволы, поэтому пишу словами). Второй отражённый луч с углом отражения бета. Согласно закона отражения света, угол падения равен углу отражения, соответственно альфа = бета. Третий луч преломленный с углом преломления гамма.

Далее внимательно читаем и смотрим на чертёж. Согласно условия угол между бета и гамма равен 90 градусов. Если взять угол 90+бета+гамма мы получим развёрнутый угол 180 градусов. Значит гамма+бета= 90.

Задача решена.

Хотите больше задач? Подписывайтесь на канал, ставьте лайки, пишите комментарии. Предлагайте варианты задач, обязательно со ссылкой на источник.