Найти в Дзене

ОГЭ. Задача про квадрат внутри окружности. Вписанные в треугольник окружности.

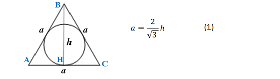
Прежде чем приступить к решению этой задачи, вспомним необходимую теорию. Поскольку треугольник равносторонний, все его углы равны между собой и равны 60 градусов. В треугольнике АВН угол Н прямой, а угол А равен 60 градусов. Это значит, что Так мы вывели формулу нахождения стороны равностороннего треугольника через высоту (которая, кстати, является также медианой и биссектрисой). Однако в условии нам дан радиус вписанной окружности. Вспомним, что высота равностороннего треугольника равна трем радиусам вписанной окружности. Таким образом, из равенств (1) и (2) следует, что чтобы найти сторону равностороннего треугольника, зная радиус вписанной окружности, нужно применить формулу Вернемся к решению задачи, которая теперь решается в одно действие: Эта задача не про вписанный треугольник, а про прямоугольный треугольник, построенный внутри квадрата так, что один его катет (AD) есть сторона этого квадрата, а второй катет (DO) – половина этой стоны. Таким образом, используя теорему Пифагора
Оглавление

1. Радиус окружности, вписанной в равносторонний треугольник, равен 16√3 . Найдите длину стороны этого треугольника.

У равностороннего треугольника все углы равны 60 градусов
У равностороннего треугольника все углы равны 60 градусов

Прежде чем приступить к решению этой задачи, вспомним необходимую теорию.

Поскольку треугольник равносторонний, все его углы равны между собой и равны 60 градусов.
-2

В треугольнике АВН угол Н прямой, а угол А равен 60 градусов. Это значит, что

-3
Так мы вывели формулу нахождения стороны равностороннего треугольника через высоту (которая, кстати, является также медианой и биссектрисой).

Однако в условии нам дан радиус вписанной окружности. Вспомним, что высота равностороннего треугольника равна трем радиусам вписанной окружности.

-4

Таким образом, из равенств (1) и (2) следует, что чтобы найти сторону равностороннего треугольника, зная радиус вписанной окружности, нужно применить формулу

-5

Вернемся к решению задачи, которая теперь решается в одно действие:

-6

2. Точка 𝑂 является серединой стороны 𝐶𝐷 квадрата 𝐴𝐵𝐶𝐷. Радиус окружности с центром в точке 𝑂, проходящей через вершину 𝐴, равен 9. Найдите площадь квадрата 𝐴𝐵𝐶𝐷.

Задача про квадрат внутри окружности проще, чем кажется
Задача про квадрат внутри окружности проще, чем кажется

Эта задача не про вписанный треугольник, а про прямоугольный треугольник, построенный внутри квадрата так, что один его катет (AD) есть сторона этого квадрата, а второй катет (DO) – половина этой стоны.

Таким образом, используя теорему Пифагора, запишем равенство, из которого найдем квадрат стороны квадрата, т.е. искомую площадь.

-8

Сказать автору "Спасибо!" можно посредством лайка) и в комментариях, а найти ещё что-то полезное для подготовки к ОГЭ можно перейдя по ссылкам ниже: