Добавить в корзинуПозвонить
Найти в Дзене
Физика-блюз

Как вернуть гравитационной постоянной Ньютона статус фундаментальной константы.Часть4.

Итак, уважаемые коллеги, если вы в очередной раз измеряете гравитационную постоянную G0, и вам никак не удается решить, кто же из вас подобрался ближе к истинному значению этой константы, то не забывайте о следующем. Измеренное значение величины Gi уже содержит в себе поправку не только на широту, но и долготу места измерения этой величины. Поэтому учитывать эти поправки повторно в ходе обработки данных будет ошибочным действием, и его следует отменить. И тогда все результаты сойдутся с необходимой точностью. Во второй половине 90-х годов XX века несколько групп исследователей в разных странах, и в разное время выполнили измерения величины Gi. Сравним между собой результаты, полученные двумя из них: например, TR&D-96 (Tribotech Research and Development Company, Moscow) и LANL-97 (Los Alamos National Laboratory in Los Alamos, New Mexico). В Москве зафиксировали следующее значение гравитационной постоянной: G1 = (6.6729±0.0005)E-11, а в Лос Аламосе – другое значение этой постоянной: G2 =

Итак, уважаемые коллеги, если вы в очередной раз измеряете гравитационную постоянную G0, и вам никак не удается решить, кто же из вас подобрался ближе к истинному значению этой константы, то не забывайте о следующем. Измеренное значение величины Gi уже содержит в себе поправку не только на широту, но и долготу места измерения этой величины. Поэтому учитывать эти поправки повторно в ходе обработки данных будет ошибочным действием, и его следует отменить. И тогда все результаты сойдутся с необходимой точностью.

Во второй половине 90-х годов XX века несколько групп исследователей в разных странах, и в разное время выполнили измерения величины Gi. Сравним между собой результаты, полученные двумя из них: например, TR&D-96 (Tribotech Research and Development Company, Moscow) и LANL-97 (Los Alamos National Laboratory in Los Alamos, New Mexico). В Москве зафиксировали следующее значение гравитационной постоянной: G1 = (6.6729±0.0005)E-11, а в Лос Аламосе – другое значение этой постоянной: G2 = (6.6740±0.0007)E-11, отличающееся от первого в третьем знаке после запятой.

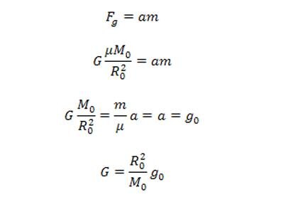
Убедимся, что причина расхождения измеренных значений определена нами правильно, и попробуем уменьшить его величину. Напомню, что сила тяготения Земли (Fg) сообщает телу (гравитационной массой μ, и инертной массой m), движущемуся в гравитационном поле Земли, ускорение (a). Поскольку гравитационная и инертная массы одного и того же тела количественно равны друг другу (μ1 = m1), постольку все тела падают с высот много меньших радиуса Земли с одним и тем же постоянным ускорением (a= g0 = 9,80665 м/с·с):

-2

То есть величина G является постоянной величиной, и с совпадением результатов ее измерения не должно быть никаких проблем. То, что проблемы, на самом деле, есть, означает непостоянство ускорения свободного падения или зависимость этой величины от времени, о чем и шла речь в предыдущей части статьи.

Одной из вероятных причин может быть то обстоятельство, что гравитационная (μ) и инертная (m) масса одного и того же тела, изменяясь каждая по гармоническому закону (в противофазе друг с другом), в произвольно выбранный момент времени друг другу не равны (отношение m/μ не равно единице). И потому величина G в самом общем случае также оказывается переменной величиной:

-3

Введя следующие обозначения, запишем выражения для значений величины G, полученных первой и второй группами:

-4

Из этих выражений в принципе становится ясно, почему результаты измерений не совпадают: разброс измеренных значений зависит от разницы географических координат мест измерения.

В предыдущей части рассматриваемой статьи была получена вот такая зависимость ускорения свободного падения от времени и координат:

-5

Пренебрегая поправкой на время (β = 1), и введя обозначение для углового ускорения суточного вращения Земли α = Ω^2·R0 = 0.0034 (м/с·с) преобразуем выражение к виду:

-6

Разделив обе его части на γ (это обозначение введено чуть выше), перейдем к выражению для гравитационной постоянной (буква «и» в нижнем индексе означает, что значение данной величины является измеренным, а буква «в» - что это уже скорректированное или вычисленное значение указанной величины):

-7

Измеренные группами значения Gi должны сблизиться (в идеале совпасть), если к значениям Gi прибавить соответствующие поправки Ai, поскольку есть ощущение, что они фактически вычитались дважды. Измеренное значение естественным образом уже включает в себя одну такую поправку, а вторую вычитают сами измеряющие, якобы для того чтобы учесть координаты места измерения, чего делать вовсе не нужно. Поэтому лишний раз вычтенную поправку надо компенсировать – прибавить ее. И действительно, расхождение результатов измерений, выполненных группами TR&D-96 и LANL-97, после компенсации становится пусть и ненамного, но все же меньше: так, в рассматриваемом случае разница значений, указанная в ячейке N2 (0,0008956), уже меньше той, которая записана в ячейке M2 (0,0011).

-8

Строго говоря, поправка на переменность масс βi = G0/Gi ≠ 1, и ее учет, помимо учета поправки Ai, делает расхождение еще меньшим. Снова делим обе части выражения для ускорения свободного падения на γ, и получаем выражение для гравитационной постоянной:

-9
-10

Разница в результатах измерений двух групп первоначально составляла 0,0011 (ячейка M2). После учета поправки A1, это расхождение удалось уменьшить до значения 0,0008956 (ячейка N2), и наконец, корректное использование поправки β1 позволило уточнить значение величины G еще на 0,0002 до значения 0,000691 (ячейка R2).

Пересчет был выполнен для данных полученных за несколько десятков лет в разное время восемью разными группами экспериментаторов, использовавших крутильные весы (плюс две группы, которые повторили свои измерения позже еще раз). Данные четырех экспериментов не пересчитывались, и в итоговую диаграмму не вошли, так как эти группы использовали измерительные устройства иных, чем крутильные весы, типов.

-11

О явном сближении результатов измерений после их обработки (данные в третьем столбце; маркер красного цвета) свидетельствует следующая сводная точечная диаграмма:

-12

Скорректированные результаты, расположенные по вертикали относительно табличного значения, рекомендуемого CODATA (пунктирная горизонтальная линия), бесспорно, размещены компактнее результатов, заявленных как окончательные (второй столбец; маркер синего цвета).

Таким образом, обработка результатов по описанной в этой статье методике коррекции поправок, позволяет, за счет уменьшения разброса найденных значений величины G, не только выявить и без того действительно существующее лучшее согласование данных практически всех групп, но также приблизиться каждой из них к рекомендованному справочному значению гравитационной постоянной:

-13

Наука
7 млн интересуются