Найти в Дзене

Белые пятна эфиродинамики

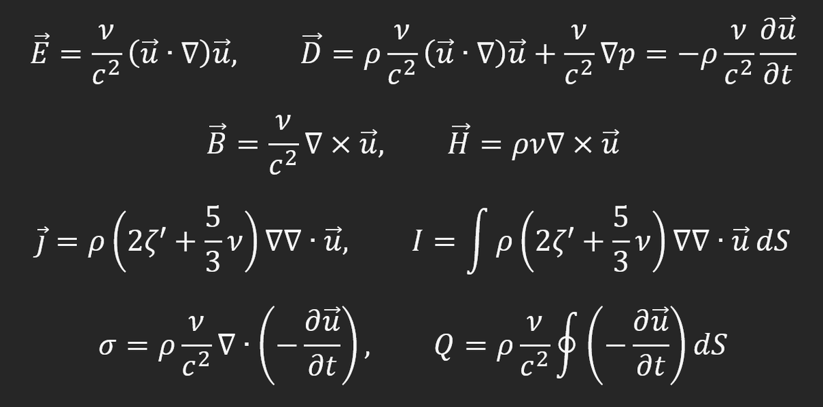
Несмотря на то, что эфиродинамика позиционирует себя как всеобъемлющая картина мира, способная дать ответы на любые вопросы, касающиеся природных явлений, есть в ней немалое количество белых пятен. Некоторые даже очень большие и не очень понятные. Одним из главных подобного рода вопросов является, как это ни странно, электромагнетизм. Я показывал ранее вывод уравнений Максвелла из уравнения Навье-Стокса. Всё получилось идеально, если бы не одно «но». Просто по формальным признакам указанная запись неверна. В модели предполагается, что эфир циркулирует вокруг заряда. Конвективная производная, выступающая в роли напряжённости электрического поля, направлена вдоль вектора скорости. А сила, действующая на заряд, направлена поперёк скорости. Кроме того, скорость потока со всей очевидностью должна убывать по мере удаления от источника поля. Т.е. конвективная производная будет всегда иметь один и тот же знак. А нам достоверно известно, что заряды бывают положительными и отрицательными. Как же

Несмотря на то, что эфиродинамика позиционирует себя как всеобъемлющая картина мира, способная дать ответы на любые вопросы, касающиеся природных явлений, есть в ней немалое количество белых пятен. Некоторые даже очень большие и не очень понятные. Одним из главных подобного рода вопросов является, как это ни странно, электромагнетизм.

Я показывал ранее вывод уравнений Максвелла из уравнения Навье-Стокса. Всё получилось идеально, если бы не одно «но». Просто по формальным признакам указанная запись неверна. В модели предполагается, что эфир циркулирует вокруг заряда. Конвективная производная, выступающая в роли напряжённости электрического поля, направлена вдоль вектора скорости. А сила, действующая на заряд, направлена поперёк скорости. Кроме того, скорость потока со всей очевидностью должна убывать по мере удаления от источника поля. Т.е. конвективная производная будет всегда иметь один и тот же знак. А нам достоверно известно, что заряды бывают положительными и отрицательными. Как же быть?
На самом деле, когда я выводил уравнения Максвелла, уже было понятно, что предложенные формулы не будут по крайней мере полны. Всё дело в том, что важнейшее значение в порождаемых электромагнитными полями силах по эфиродинамической модели играет ориентация частиц. Ориентация осуществляется тем же электромагнитным взаимодействием, но в предложенных формулах никак не описана.
Как я писал в книге, ориентироваться частицы могут прямым потоком:

-2

Механизм вполне прозрачен. Слева верхний поток эфира внутри частицы сталкивается с набегающим внешним потоком. Сопротивление большое. Снизу – наоборот. Имеем силу, тянущую левый край тороидальной частицы вниз. Правый край частицы ведёт себя противоположным образом. И частицу стремится развернуть поперёк внешнего потока.
Также есть возможность ориентации частиц внешним вихревым потоком. Ситуация аналогичная описанному ранее, но частицу уже стремится повернуть поперёк ротора внешнего потока. Роторы заряженной частицы и внешнего поля стремятся выровняться. На рисунке за ротор можно считать круговую зелёную стрелку.

-3

Таким образом, у нас имеется две одновременно действующие силы, которые стремятся повернуть частицу в разные в общем случае стороны. Т.е. частица будет в среднем вставать где-то между этих двух направлений. И вот, уже будучи ориентированной, начнёт испытывать все те силы, о которых говорилось при выводе уравнений Максвелла. Таким образом, частицу будет тянуть не в сторону вектора конвективной производной, а в сторону вектора, который является векторным произведением этой конвективной производной и вышеупомянутого вектора ориентации.
Поскольку формулы у нас общие и аналитические, а с размерностями всё в порядке (как стало ясно из последних нескольких статей, где мы разбирали плотность эфира), можно достаточно уверенно говорить о том, что множитель ν/c^2 и должен в каком-то виде отвечать за ориентацию частицы. В книге я показывал, что эта величина составляет порядка 10^(-37)с. Обратное этой величине число – это средняя скорость вращения эфирных масс вокруг тела протона. Можно предположить, что чем более частицы ориентируются по ротору внешнего поля, тем больше на них действует обтекающий поток эфира. Но, насколько мне известно, магнитное поле (по предложенной формуле – ротор потока) может быть нулевым, а электрические силы всё равно будут действовать, что вступает в некое противоречие с выдвинутой гипотезой. Хотя при определении магнитного поля тоже есть аналогичный коэффициент, что даёт некоторое пространство для манёвра. Но вопрос всё равно открыт. И на данный момент у меня вразумительного ответа на него нет. А у вас?

Наука
7 млн интересуются