Найти в Дзене

№ 31 из учебника по алгебре для 8-го класса (автор Ю. Н. Макарычев)

Основное свойство дроби. Сокращение дробей. Разложение разности кубов на множители. Разложение суммы кубов на множители. Разложение разности квадратов на множители. Куб суммы двух выражений. Сократите дробь: Решениe: В знаменателе применена формула разложения суммы кубов, а затем, пользуясь основным свойством дроби, числитель и знаменатель были сокращены на их наибольший общий делитель. В числителе применена формула разложения разности кубов, а затем, пользуясь основным свойством дроби, числитель и знаменатель были сокращены на их наибольший общий делитель a – b. Как и в примере «а», мы воспользовались формулой разложения суммы кубов в знаменателе. Затем, пользуясь основным свойством дроби сократили числитель и знаменатель на наибольший общий делитель a + b. Как и в примере «а», мы воспользовались формулой разложения суммы кубов в знаменателе. Затем, пользуясь основным свойством дроби сократили числитель и знаменатель на наибольший общий делитель a + b. Теперь мы можем раскрыть ско
Оглавление

Основное свойство дроби. Сокращение дробей. Разложение разности кубов на множители. Разложение суммы кубов на множители. Разложение разности квадратов на множители. Куб суммы двух выражений.

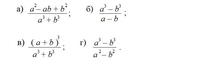
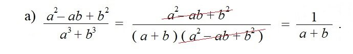
Сократите дробь:

Решениe:

-2

В знаменателе применена формула разложения суммы кубов, а затем, пользуясь основным свойством дроби, числитель и знаменатель были сокращены на их наибольший общий делитель.

-3

В числителе применена формула разложения разности кубов, а затем, пользуясь основным свойством дроби, числитель и знаменатель были сокращены на их наибольший общий делитель ab.

-4

Как и в примере «а», мы воспользовались формулой разложения суммы кубов в знаменателе. Затем, пользуясь основным свойством дроби сократили числитель и знаменатель на наибольший общий делитель a + b.

Как и в примере «а», мы воспользовались формулой разложения суммы кубов в знаменателе. Затем, пользуясь основным свойством дроби сократили числитель и знаменатель на наибольший общий делитель a + b.

Теперь мы можем раскрыть скобки в числителе, используя формулу квадрата суммы:

-5
-6

В знаменателе использована формула разложения разности квадратов на множители, а в числителе – формула разложения суммы кубов. Затем, пользуясь основным свойством дроби сократили числитель и знаменатель на наибольший общий делитель ab.