Найти в Дзене
VOICE

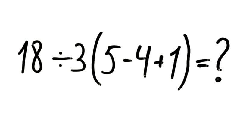
Тест: смешно, но многие не могут решить этот пример! А ты справишься?

Ходят слухи, что эту задачу Стивен Хокинг предлагал решить своим студентам, и справлялись только 10%.

Мы в это, конечно, не верим: к чему Хокингу давать молодым людям пример для школьников? А вот половину неправильных ответов в соцсетях видели собственными глазами!