Добавить в корзинуПозвонить
Найти в Дзене
Блокнот математика

Гравитация вращения

Как мы знаем, любая энергия создает кривизну пространства-времени, то есть гравитацию. И любая энергия, заключенная в данном объеме, дает вклад в массу этого объема. Вращение — тоже. Для вращающегося шара есть точное решение уравнений ОТО: решение Керра. Оно не относится непременно к чёрным дырам, его можно применить даже к Земле. Оно предсказывает некоторые эффекты, например, увлечение инерциальных систем отсчета, и некоторые из этих эффектов были зарегистрированы (Gravity Probe B). Метрика довольно сложная. В нее входят два параметра, помимо четырех пространственно-временных координат: радиус Шварцшильда, или масса, и момент вращения. Интересно, что в пределе нулевой массы получается плоская метрика. Вращение без массы массы не имеет. А вот добавить массы массе вращение может. В пределе нулевого момента вращения получается решение Шварцшильда, что и логично. Можно выделить вклад вращения в массу. Полная масса M вращающегося шара задается таким уравнением: Здесь M₀ — масса покоя шара

Как мы знаем, любая энергия создает кривизну пространства-времени, то есть гравитацию. И любая энергия, заключенная в данном объеме, дает вклад в массу этого объема. Вращение — тоже.

Ее масса сейчас больше, чем когда она в покое, я гарантирую это! https://i.gifer.com/7f52.gif
Ее масса сейчас больше, чем когда она в покое, я гарантирую это! https://i.gifer.com/7f52.gif

Для вращающегося шара есть точное решение уравнений ОТО: решение Керра. Оно не относится непременно к чёрным дырам, его можно применить даже к Земле. Оно предсказывает некоторые эффекты, например, увлечение инерциальных систем отсчета, и некоторые из этих эффектов были зарегистрированы (Gravity Probe B).

Метрика довольно сложная. В нее входят два параметра, помимо четырех пространственно-временных координат: радиус Шварцшильда, или масса, и момент вращения. Интересно, что в пределе нулевой массы получается плоская метрика. Вращение без массы массы не имеет. А вот добавить массы массе вращение может.

В пределе нулевого момента вращения получается решение Шварцшильда, что и логично.

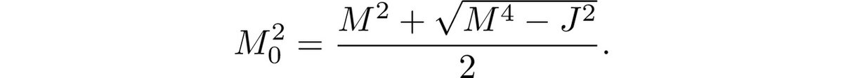
Можно выделить вклад вращения в массу. Полная масса M вращающегося шара задается таким уравнением:

-2

Здесь M₀ — масса покоя шара (без вращения), момент вращения J, гравитационная постоянная и скорость света приняты за единицы.

Можно решить это уравнение и выразить М:

M² = M₀² + J²/(4M₀²)

В этой системе единиц у нас J измеряется в кг². Переход в более привычные единицы осуществляется так. Выбрав c=1, мы уравняли единицы длины и времени, L=cT. Выбрав G=1, мы связали длину, время и массу: L/T² = Gm/L², или c²L=Gm. Момент имеет размерность mL²/T (мы импульс умножаем на радиус-вектор), или mcL, или m²G/c. Получаем формулу

-3

Вернемся в релятивистскую систему единиц. Если J=M², то это экстремальная керровская черная дыра. Вращаться быстрее при данной массе она не может. При этом квадрат массы покоя такой дыры равен половине квадрата массы. Теоретически можно извлечь энергию вращения черной дыры: максимум извлекаемой энергии как раз для экстремальной, и это около корня из одной второй, сиречь 29.2% полной массы.

Пусть черная дыра образовалась как коллапсар имеет минимальную для этого массу покоя (около трех солнечных). При этом она экстремальная керровская, то есть раскручена до максимально возможного момента. Ее полная масса тогда в √2 раз больше (в 1.41 раз, или 4.25 Солнц). Мы выкачали всю энергию вращения, то есть осталась только масса покоя; выкачали мы √2-1, то есть 41% массы покоя, или, примерно, 1.2 массы Солнца. Это 2·10³⁰кг, а в единицах энергии в c² раз больше. Такая черная дыра могла бы заменить Солнце!

О том, как выкачивать энергию из вращающихся черных дыр, поговорим в другой раз.

Насколько велико экстремальное вращение? Поделив J=M² на с=1, массу М и на радиус Шварцшильда 2М, получим 0.5. В обычных единицах получилась бы безразмерная величина, имеющая смысл скорости, выраженной в долях с. Значит, и в этих единицах тоже так. Получается, что шар радиусом вдвое больше шварцшильдовского достигал бы скорости света при вращении. Вопрос только в том, что никакой шар при таком вращении шаром не останется. Да и радиус Шварцшильда утрачивает свое значение, становясь просто некой величиной с размерностью длины: координаты-то далеки от обычных сферических.

Но это помогает понять, почему вращение не может быть еще ускорено: по тем же причинам, по которым нельзя превзойти скорость света. Физическая скорость где-то достигнет этого предела.

Давайте посмотрим, каков вклад обычного, не экстремального вращения. В классическом приближении момент вращения получается умножением импульса на расстояние до оси вращения, или угловой скорости вращения на массу и квадрат расстояния. Для однородного шара момент J равен 0.8ΩMR², где Ω, M и R означают угловую скорость, массу и радиус.

Земля, конечно, не однородна, но мы сделаем оценку сверху; радиус Земли 6400км, масса Земли 6·10²⁴кг, а угловая скорость — один оборот за 24 часа, или 7·10⁻⁵м/с. При этом в формуле масса вообще сократится (в том слагаемом, в которое входит J). Там остается только 0.04Ω²R²c²/G². А это 1.6∙10⁴¹. Это добавка к квадрату массы Земли, который равен 3.6∙10⁴⁹.

Применим приближение для корня: если x² = y² + ε, то xy + ½ε/y при условии, что второе слагаемое мало по сравнению с 1. Итак, относительное отличие массы Земли от массы покоя Земли (если бы она не вращалась) равно половине полученной добавки, отнесенной к квадрату массы Земли. Это степень 10⁻⁸, или миллионные доли процента.

Конечно, значительная часть массы Земли находится в ядре. Около трети, при том, что радиус ядра около половины радиуса планеты (а объем около одной восьмой). Но это радикально не меняет оценку.

С одной стороны, очень мало, а с другой... ну пусть даже одна миллиардная массы Земли обусловлена вращением. Это 6∙10¹⁸кг, что близко к массе атмосферы Земли, или Средиземного моря (4∙10¹⁸кг).

В общем-то, если вращаться в высшем обществе, то и вес будет больше.

Научно-популярные каналы на Дзене: путеводитель
Новости популярной науки12 марта 2022