Добавить в корзинуПозвонить
Найти в Дзене

ОГЭ. Решение уравнений. Тип 20

Решение: Решение этого задания сводится к нахождению значения выражения 11a - 7b. Для этого упростим данное выражение: Подставим полученное значение в выражение 11a-7b+21: Ответ: 9 Решение: Сумма двух квадратов может быть равна нулю в том и только в том случае, если оба квадрата равны нулю, т.е. Решая уравнение, получаем из первого: х1=-6, х2=6. Из второго уравнения: х3=-6, х4=2. Поскольку нам подходит только то значение х, которое является корнем обоих уравнений, получаем ответ х=-6. Ответ: х = -6 Решение: Для того чтобы решить данное уравнение нам необходимо разложить на множители его левую часть. Тогда мы получим, что произведение каких-то различных между собой выражений будет равно нулю, а это возможно в том и только в том случает, если какой-то из них нуль. То есть, нам нужно привести данное уравнение к виду Вынесем за скобки х^2 для того, чтобы получить общий множитель х+5: Сгруппировав первые два одночлена, мы вынесли за скобки x^2. Сгруппировав вторые два одночлена – вынесли (
Оглавление

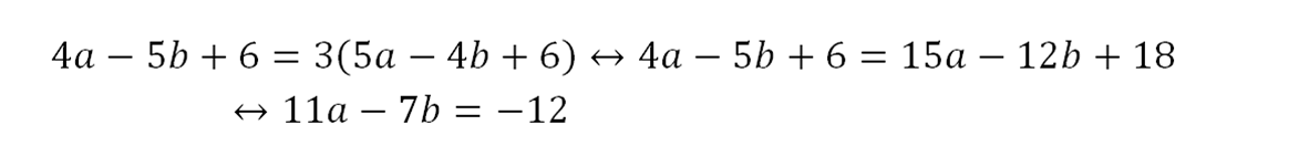
1. Найти значение выражения 11a-7b+21, если (4a-5b+6)/(5a-4b+6)=3

Решение:

Решение этого задания сводится к нахождению значения выражения 11a - 7b. Для этого упростим данное выражение:

-2

Подставим полученное значение в выражение 11a-7b+21:

-3

Ответ: 9

2. Решите уравнение (x^2-36)^2+(x^2+4x-12)^2=0

Решение:

Сумма двух квадратов может быть равна нулю в том и только в том случае, если оба квадрата равны нулю, т.е.

-4

Решая уравнение, получаем из первого: х1=-6, х2=6. Из второго уравнения: х3=-6, х4=2.

Поскольку нам подходит только то значение х, которое является корнем обоих уравнений, получаем ответ х=-6.

Ответ: х = -6

3. Решите уравнение x^3+5x^2-x-5=0

-5

Решение:

Для того чтобы решить данное уравнение нам необходимо разложить на множители его левую часть. Тогда мы получим, что произведение каких-то различных между собой выражений будет равно нулю, а это возможно в том и только в том случает, если какой-то из них нуль.

То есть, нам нужно привести данное уравнение к виду

-6

Вынесем за скобки х^2 для того, чтобы получить общий множитель х+5:

-7
Сгруппировав первые два одночлена, мы вынесли за скобки x^2. Сгруппировав вторые два одночлена – вынесли (-1), поэтому знаки в скобках перед «х» и перед 5 поменялись на противоположные.
-8

Здесь мы вынесли за скобки общий множитель (х+5), а в скобках получилось то, что осталось после деления:

-9
Делим на то, что выносим за скобки.

Теперь можно решить уравнение, предположив, что или первый множитель (х+5)=0, или второй множитель (х^2-1)=0:

-10

Ответ: x1=-5, x2=-1, x3=1.

Записывая значения корней уравнения, нужно соблюдать последовательность от меньшего к большему.

4. Решите уравнение (x-1)(x^2+8x+16)=6(x+4)

-11

Разложим выражение x^2+8x+16 на множители по формуле

-12

Таким образом, после вынесения за скобки общего множителя (х+4) выражение слева преобразуется в

-13

Снова преобразуем второй множитель по формуле (**) и получаем уравнение

-14

Ответ: х1=-5, х2=-4, х3=2.

Помните, что вы всегда можете проверить правильность своего решения, просто подставив полученные значения корней в уравнение.

5. Решить уравнение 1/x^2+4/x-12=0

-15

Решение:

Заметим, что переменная «х» стоит в знаменателе, а значит, нам нужно потребовать, чтобы это значение не обращалось в нуль. Иными словами, обозначим область допустимых значений аргумента (ОДЗ):

-16

А поскольку х не нуль, то мы можем и умножать на него, и делить, не боясь «разрушить» уравнение:

-17

Решив это уравнение через нахождение дискриминанта, получим корни х1=-1/6, х2=1/2.

Ответ: -1/6, 1/2.

Поблагодарить автора можно с помощью лайка), а не пропустить новые уроки по подготовке к ОГЭ поможет подписка на канал.

А здесь еще материалы по ОГЭ: