Добавить в корзинуПозвонить
Найти в Дзене
Математика не для всех

Самовлюбленные числа Армстронга. У них сразу несколько имён и одна уникальная особенность. А еще их всего 88!

Приветствую Вас, уважаемые Читатели! Сегодня я хочу рассказать про занимательные числа, у которых сразу несколько названий: в одних источниках они называются числами Армстронга в честь малоизвестного математика из университета Рочестера (Нью-Йорк), хотя их концепция была известна еще в первой половине 20-го века благодаря гениальному англичанину Годфри Харолду Харди, в других - самовлюбленными, в третьих - превосходными числовыми инвариантами, а в английском варианте - "Narcissistic" в честь мифологического юноши Нарцисса. Что же в этих числах такого? Давайте разберемся! Как и многие числа, имеющие особенные наименования, числа Армстронга появились на "заляпанной кофе бумаге в перерывах между лекциями" благодаря бытовой случайности: Майкл Армстронг жил в доме под номером 153. Просто посмотрите: Итак, числом Армстронга называется натуральное число, которое в данной системе счисления равно сумме своих цифр, возведённых в степень, равную количеству его цифр. Однако первым, кто обратил

Приветствую Вас, уважаемые Читатели! Сегодня я хочу рассказать про занимательные числа, у которых сразу несколько названий: в одних источниках они называются числами Армстронга в честь малоизвестного математика из университета Рочестера (Нью-Йорк), хотя их концепция была известна еще в первой половине 20-го века благодаря гениальному англичанину Годфри Харолду Харди, в других - самовлюбленными, в третьих - превосходными числовыми инвариантами, а в английском варианте - "Narcissistic" в честь мифологического юноши Нарцисса. Что же в этих числах такого? Давайте разберемся!

Источник: https://webpulse.imgsmail.ru/imgpreview?fr=srchimg&mb=webpulse&key=pulse_cabinet-file-c59fe70d-f280-40f9-a6e0-2889992b2ad6&crop=fd&fu=1&h=1526&kr=1&w=1260
Источник: https://webpulse.imgsmail.ru/imgpreview?fr=srchimg&mb=webpulse&key=pulse_cabinet-file-c59fe70d-f280-40f9-a6e0-2889992b2ad6&crop=fd&fu=1&h=1526&kr=1&w=1260

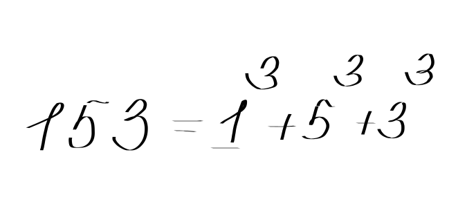
Как и многие числа, имеющие особенные наименования, числа Армстронга появились на "заляпанной кофе бумаге в перерывах между лекциями" благодаря бытовой случайности: Майкл Армстронг жил в доме под номером 153. Просто посмотрите:

-2

Итак, числом Армстронга называется натуральное число, которое в данной системе счисления равно сумме своих цифр, возведённых в степень, равную количеству его цифр.

Однако первым, кто обратил на них внимание, был Годфри Харди в своей пронизанной любовью к чистой математике "Апологии":

Источник: https://i01.fotocdn.net/s113/f6d2d97230e4481f/public_pin_l/2559481706.jpg
Источник: https://i01.fotocdn.net/s113/f6d2d97230e4481f/public_pin_l/2559481706.jpg

Среди прочего, Харди писал:

«Существуют только четыре числа (кроме 1), равных сумме кубов цифр, например,153 = 1^3 + 5^3 + 3^3, 370 = 3^3 + 7^3 + 0^3,371 = 3^3 + 7^3 + 1^3, 407 = 4^3 + 0^3 + 7^3. Всё это забавные факты, весьма подходящие для газетных колонок с головоломками, способные позабавить любителей, но ничего в них не затронет сердце математика.»

Майкл Армстронг же со своими студентами пошел дальше и предложил им в качестве домашнего задания написать программу, которая бы быстро проверяла числа на это удивительное свойство.

Процедура оказалась достаточно ресурсоемкой, поэтому изначальная задумка использовать Фортран провалилась: вместо этого студенты переписали свои алгоритмы на ассемблере (для машины серии IBM 7000) и через несколько суток получили длинный список чисел Армстронга:

153, 370, 371, 407, 1634, 8208, 9474, 54 748, 92 727, 93 084, 548 834, 1 741 725, 4 210 818, 9 800 817, 9 926 315, 24 678 050, 24 678 051, 88 593 477, 146 511 208, 472 335 975, 534 494 836, 912 985 153, 4 679 307 774....

Является ли этот список конечным? Да! Математики показали, что существует всего 88 чисел Армстронга, а наибольшее из них содержит 39 знаков! Не зря Харди упомянул эти числа в своей, без преувеличения, исповеди! Такая красота не может оставаться незамеченной! Спасибо за внимание!

  • TELEGRAM и Вконтакте- там я публикую не только интересные статьи, но и математический юмор и многое другое.