Добавить в корзинуПозвонить
Найти в Дзене

Олимпиадная задача-провокация

Математика онлайн. Доступно о сложном. Серия «Задачи студенческих олимпиад» Здравствуйте, уважаемые любители математики! На первый взгляд непонятно, почему эта задача включена в сборник олимпиадных заданий. Казалось бы, и формулы известны, и функция достаточно простая. Начнем искать уравнения прямых. При нахождении коэффициента k используется правило Лопиталя, а для нахождения свободного члена b - основное свойство логарифма. В чем же все-таки подвох? Можно заметить, что exp(2x) неограниченно увеличивается только в том случае, когда x стремится к плюс бесконечности. Если же аргумент x уходит в минус бесконечность, то предел exp(2x) равен нулю. Следовательно, на плюс бесконечности и на минус бесконечности асимптоты будут разными. Осталось найти вторую асимптоту. Итак, при x, стремящемся к плюс бесконечности, график функции приближается к наклонной асимптоте, а в случае минус бесконечности - к горизонтальной (оси абсцисс). Задание - из книги "Задачи студенческих олимпиад по математике".

Математика онлайн. Доступно о сложном. Серия «Задачи студенческих олимпиад»

Задача кажется простой. Но она включена в сборник задач студенческих олимпиад
Задача кажется простой. Но она включена в сборник задач студенческих олимпиад

Здравствуйте, уважаемые любители математики!

На первый взгляд непонятно, почему эта задача включена в сборник олимпиадных заданий.

Казалось бы, и формулы известны, и функция достаточно простая.

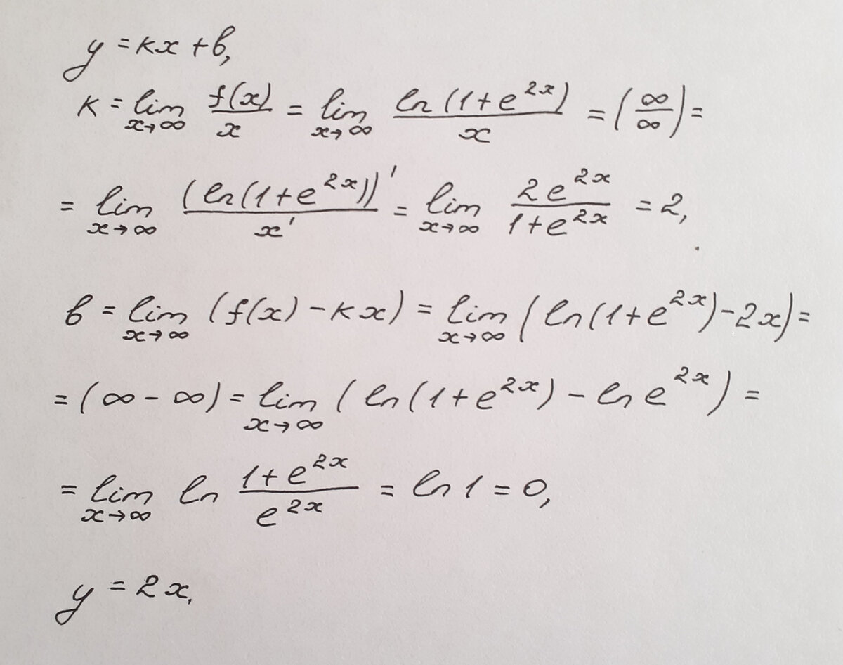
Начнем искать уравнения прямых. При нахождении коэффициента k используется правило Лопиталя, а для нахождения свободного члена b - основное свойство логарифма.

Находим асимптоту при стремлении аргумента к плюс бесконечности
Находим асимптоту при стремлении аргумента к плюс бесконечности

В чем же все-таки подвох?

Можно заметить, что exp(2x) неограниченно увеличивается только в том случае, когда x стремится к плюс бесконечности.

Если же аргумент x уходит в минус бесконечность, то предел exp(2x) равен нулю.

Следовательно, на плюс бесконечности и на минус бесконечности асимптоты будут разными.

Осталось найти вторую асимптоту.

А теперь проводим исследование при стремлении свободной переменной к минус бесконечности
А теперь проводим исследование при стремлении свободной переменной к минус бесконечности

Итак, при x, стремящемся к плюс бесконечности, график функции приближается к наклонной асимптоте, а в случае минус бесконечности - к горизонтальной (оси абсцисс).

Задание - из книги "Задачи студенческих олимпиад по математике". Авторы-составители - Беркович Ф.Д., Федий В.С.

Не забудьте подписаться на канал, если

- Вам интересны вопросы, которые здесь разбираются;

- Вам могут потребоваться консультации по математике (подробнее здесь).

Другие статьи серии "Задачи студенческих олимпиад"

О канале

Рубрикатор канала

Тесты по математике