Добавить в корзинуПозвонить
Найти в Дзене
Блокнот математика

Неассоциативность формулы сложения скоростей

Преобразования Лоренца образуют группу. Это понятно, потому что преобразования Лоренца — это переход из одной системы отсчета в другую, а такие переходы должны быть группой. Что такое группа? Это набор преобразований некоторого множества, причем композиция преобразований (одно, потом другое) должна сама быть преобразованием из того же набора, и каждое преобразование можно отменить некоторым обратным преобразованием. Еще требуется ассоциативность: (a+b)+c=a+(b+c), где + — это групповая операция. Вот, например, повороты плоскости. Это группа, ведь два поворота равносильны одному повороту на сумму углов, и всегда можно повернуть обратно. Ассоциативность тоже есть. Или вот повороты в пространстве, вокруг заданной оси на заданный угол. Групповое свойство (доказано Эйлером) не совсем очевидно: поворот на некоторый угол вокруг одной оси и потом на другой вокруг другой оси равносилен одному повороту на некоторый угол вокруг какой-то третьей оси. Ассоциативность тоже не совсем очевидна, но ест

Преобразования Лоренца образуют группу. Это понятно, потому что преобразования Лоренца — это переход из одной системы отсчета в другую, а такие переходы должны быть группой.

Что такое группа? Это набор преобразований некоторого множества, причем композиция преобразований (одно, потом другое) должна сама быть преобразованием из того же набора, и каждое преобразование можно отменить некоторым обратным преобразованием. Еще требуется ассоциативность: (a+b)+c=a+(b+c), где + — это групповая операция.

Вот, например, повороты плоскости. Это группа, ведь два поворота равносильны одному повороту на сумму углов, и всегда можно повернуть обратно. Ассоциативность тоже есть.

Или вот повороты в пространстве, вокруг заданной оси на заданный угол. Групповое свойство (доказано Эйлером) не совсем очевидно: поворот на некоторый угол вокруг одной оси и потом на другой вокруг другой оси равносилен одному повороту на некоторый угол вокруг какой-то третьей оси. Ассоциативность тоже не совсем очевидна, но есть. А вот коммутативности нет: два поворота в одном порядке дают не то, что те же повороты в другом порядке.

Проверить легко, встав лицом к зеркалу и выполнив два поворота: направо вокруг вертикальной оси и потом вокруг оси, что идет к зеркалу; окажешься лицом вниз на полу. В обратном порядке: сначала придется лечь на бок, а потом повернуться ногами к зеркалу. Не то же самое.

Из примеров видно, что преобразования характеризуются одним или несколькими параметрами, и на множестве этих параметров возникает своя группа.

Все разнообразие поворотов в пространстве сводится к поворотам вокруг трех осей: углы Эйлера. Математически группа поворотов выражается через три одномерные группы.
Все разнообразие поворотов в пространстве сводится к поворотам вокруг трех осей: углы Эйлера. Математически группа поворотов выражается через три одномерные группы.

Например, параметр двумерного поворота — угол — суммируется при комбинации поворотов по особому правилу: берется дробная часть суммы, если угол считается в оборотах, или остаток от деления на 360, если в градусах, или на 2π, если в радианах. И это группа на полуинтервале [0,1), если считать в оборотах.

А повороты на углы, кратные 90 градусам, например, порождают группу сложения по модулю 4, в которой всего четыре элемента: 0, 1, 2 и 3. Групповая операция — остаток от деления на 4 от обычной суммы. В градусах это 0, 90, 180 и 270, и берем остаток от деления на 360. Удобнее сдвинуть и рассматривать -90, 0, 90, 180, но это уже тонкости.

Преобразования Лоренца — это переходы между системами координат в пространстве Минковского, с одинаковыми осями, но одна движется относительно другой, равномерно прямолинейно. Это гиперболические повороты.

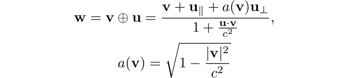
Но вот проблемка: параметр, характеризующий преобразование — это скорость, вектор. При композиции преобразований скорости складываются по релятивистской формуле. Но она не ассоциативна!

На этом моменте я предлагаю всем отрицателям, заявляющим, что Эйнштейн все украл у Пуанкаре, идти критиковать последнего. Почему-то мне кажется, что они этого не сделают.

Вот эта формула:

-2

Если сложить по ней две скорости u и v и потом прибавить в результату скорость s, то получится некоторый вектор; а теперь сложим v и s и потом прибавим результат к u. Получится другой вектор, если векторы скоростей были разнонаправленные.

Неассоциативность означает, что скорости не образуют группу, а значит, группу не образуют и сами преобразования Лоренца. Катастрофа?? Разберемся.

Рассмотрим сначала трехмерные повороты. Среди них есть подгруппа двумерных: вокруг фиксированной оси. Они сами группа. А есть подмножество поворотов вокруг двух других осей: они группу не образуют.
Причина ясна: пусть космолету запрещено поворачивать влево и вправо, ну, сломался руль, например. Но он может задирать/опускать нос и покачивать крыльями. Ну так он может завалиться на бок и потом задрать нос. Если опять встать брюхом вниз, окажется выполненным запрещенный поворот!
Можно сказать, что суперпозиция двух поворотов есть поворот из того же множества... плюс "запрещенный" поворот. Если добавить эти запрещенные, получится группа.

Вернемся к Лоренцу. Чистые преобразования — это переходы между системами, которые движутся одна относительно другой, но оси направлены одинаково. Они называются "бусты" (boosts). И вот они группу не образуют. Только если скорости сонаправлены, это аналог двумерных поворотов, вокруг одной и той же оси. Для образования группы надо добавить повороты пространственных осей, что тоже входит в понятие "преобразования координат". Еще туда входит перенос начала отсчета, но эту подгруппу можно не учитывать, не ломая групповую структуру оставшегося.

Имеем полную аналогию с трехмерными поворотами. Если ось одна и та же, то повороты коммутируют (порядок не важен) и ассоциативны, при этом два поворота это опять поворот на угол, равный сумме углов (только дробная часть числа оборотов учитывается). Если оси разные, то надо рассматривать все (можно свести к трем координатным осям), тогда повороты не коммутируют, но группу образуют: ассоциативны, и поворот плюс поворот есть поворот. И для каждого поворота есть отменяющий его поворот.
Если же исключить часть поворотов, групповая структура ломается, потому что поворот плюс поворот может быть поворот разрешенный плюс поворот запрещенный, и всё на том.
Вы не можете вырвать произвольный кусок группы, у нее есть структура, которую нельзя ломать. Так, четные числа группу по сложению образуют, и все целые тоже, а вот нечетные нет.

Так же точно дело обстоит с чистыми преобразованиями Лоренца! В одномерном случае, если ось гиперболического поворота фиксирована, они коммутируют и образуют группу. В полном же случае они не коммутируют, что полбеды, но вот группы не образуют: надо добавить еще повороты обычные, трехмерные. Вот эта группа — уже группа.

Таким образом, возникает странный эффект. Рассмотрим переход от системы отсчета А к системе В, которая движется относительно А, а потом переход к системе С, которая движется в другую сторону относительно В. Оси всех трех систем направлены одинаково. Скорость системы С относительно системы А дается формулой сложения скоростей, но с дополнительным поворотом. Этот поворот известен как прецессия Томаса и этой прецессии подвержен спин электрона в атоме, так что вещь вполне физичная.

Я еще вернусь к этому интересному вопросу. До встречи!

Путеводитель по каналу и оглавление рубрики

Наука
7 млн интересуются