Добавить в корзинуПозвонить
Найти в Дзене
Оранжевый репетитор

ЕГЭ 2020: обидные ошибки умных учеников (алгебра)

Разбор ошибок из реальных работ учеников, набравших высокие баллы

В этом году мне повезло с сильными учениками: средний балл 76, все решали вторую часть. Собрала в статье их ошибки, чтобы учесть с будущими учениками.

Обзор заданий новосибирского варианта есть в моей статье Вариант Новосибирска.

Задание 13 – уравнение.

Ноль баллов
Ноль баллов

Ошибка в первом же переходе: неверно применена формула приведения. Получилась задача труднее нужной. Самое обидное, что дальше всё решено идеально, включая отбор корней пункта (б).

Потеря одного балла за пункт (б)
Потеря одного балла за пункт (б)

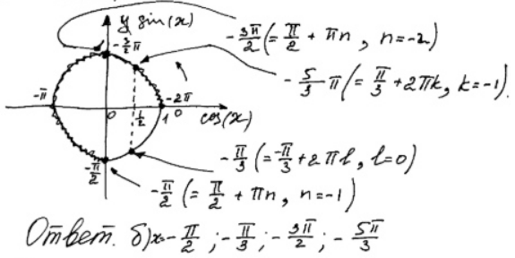
Ошибка в отборе корней. Скорее даже описка, а не ошибка: на рисунке видно, что корень -п/3 не входит в заштрихованную область (от -2п до -п/2, включая границы), но в ответ зачем-то выписан.

Я против отбора корней на окружности, потому что на окружности каждая точка означает всё своё семейство, и легко запутаться. Можете посмотреть видеоурок, где я учу отбирать корни тремя другими способами. Но особенность репетиторства в том, что я не являюсь единственным преподавателем для своих учеников. :) Если ученик уже владеет методом, то я не переучиваю.

Задание 15 – неравенство.

Первый
Первый
Второй
Второй

Когда двое моих учеников делают одинаковую ошибку – это не их ошибка, а моя, как преподавателя. Буду исправляться.

Ученики поделили неравенство на логарифм, по умолчанию посчитав, что этот логарифм положителен и знак неравенства не изменится. В этой ситуации можно было поступить двумя способами: 1) рассмотреть два случая (когда логарифм положителен и когда отрицателен), 2) перенести правую часть влево, вынести логарифм за скобки и воспользоваться методом интервалов.

Ноль баллов
Ноль баллов

Ученик попытался вычесть логарифмы, но забыл, что перед уменьшаемым есть коэффициент, а свойство вычитания логарифмов работает только для выражений без коэффициентов.

За следующую информацию я не ручаюсь, но не привести не могу.

Это решение показала моя коллега с утверждением, что оно оценено в 0 баллов.
Это решение показала моя коллега с утверждением, что оно оценено в 0 баллов.
Обсудили с действующим экспертом. Он говорит, что на первой числовой оси самый левый интервал - некорректный с точки зрения определения логарифма. Он содержит в себе промежуток, на котором функция не существует. И во всех подобных ситуациях было четкое указание ставить 0.

Звучит как заморочка профессиональных методистов, а не учеников. Раньше на такие неточности закрывали глаза.

UPD. Комментарий к задаче:

Метод интервалов применяется при решении дробно-рациональных неравенств. В данном случае неравенство таковым не является. Возникает вопрос: каким образом в этом неравенстве определен знак там, где логарифм не существует.

UPD2. Написала о неравенстве отдельную статью с проверенной информацией.

Задание 19 – теория чисел.

Примерное условие:

На доске написаны различные числа, которые могут быть записаны только из цифр 2 и 7 (возможно, только из одной из цифр)
а) Можно ли написать такие числа, чтобы в сумме они давали число 81?
б) Можно ли написать такие числа, чтобы в сумме они давали число 197?
в) Какое минимальное количество чисел нужно для того, чтобы в сумме они давали 2099?
Ноль баллов
Ноль баллов

Не прочитано слово "различные". Неаккуратные формулировки позволяют думать, что перепутаны понятия "цифра" и "число".

Ноль баллов
Ноль баллов

Это решение – за авторством талантливой олимпиадницы. Тоже не прочитала слово "различные" в условии.

Один балл за (а), ноль за (б)
Один балл за (а), ноль за (б)

Ученик утверждает, что 48 нельзя получить как сумму из чисел 2, 7, 22 и 27. В доказательство своих слов он начинает делать полный перебор возможных сумм, но останавливается, когда оставшиеся суммы становятся слишком очевидными (например, что 2+7 не равно 48). Проверяющие это не прощают. Традиционно (и на ЕГЭ, и на олимпиадах) полный перебор должен содержать ВСЕ варианты, пропущен один из сотни – сразу ноль. Как говорила моя коллега: если вы изображаете из себя компьютер, то и требования к вам, как к компьютеру. :)

UPD. На апелляции балл за пункт (б) удалось отстоять.

-10

Статья получалась слишком длинной, поэтому геометрию я вынесла в отдельную статью. Подпишитесь на канал, если вам интересна аналитика ЕГЭ.

Что ещё почитать:

Обзор заданий новосибирского варианта

Несправедливый ЕГЭ. Как отличались варианты регионов

Начать готовиться к ЕГЭ 2021 можно на моём онлайн-курсе.