Найти в Дзене
Оранжевый репетитор

ЕГЭ по математике 2020: вариант Новосибирска

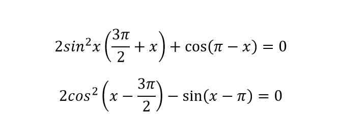
Прошёл ЕГЭ по математике, и я попросила своих учеников из Новосибирска прислать мне условия заданий, которые им попались. Привожу условия со слов учеников и свои комментарии. Задание 13 – уравнение. Стандартная тригонометрия.
1. Применяем формулы приведения, чтобы упростить условие.
2. Пользуемся разложением на множители. Про этот приём у меня есть видеоурок. Задание 14 – стереометрия. Дана правильная треугольная пирамида SABC. Боковые ребра равны корень из 21, стороны основания равны 6. На боковом ребре SB и стороне AB отмечены точки M и K так, что SK:KB = 1:3, а AM = 4.
а) Доказать, что плоскости CKM и ABC перпендикулярны,
б) Найти объем пирамиды BCKM. Задачу можно решить координатным методом по стандартным алгоритмам, разве что вычисления получатся некрасивые.
1. Задаём уравнения плоскостей, ищем угол между плоскостями как угол между нормалями. Про это у меня есть видеоуроки: теория, практика.
2. Ищем все стороны треугольника CKM как длины векторов.
3. Ищем площадь треугольника CKM

Прошёл ЕГЭ по математике, и я попросила своих учеников из Новосибирска прислать мне условия заданий, которые им попались. Привожу условия со слов учеников и свои комментарии.

Задание 13 – уравнение.

Два разных варианта
Два разных варианта

Стандартная тригонометрия.
1. Применяем формулы приведения, чтобы упростить условие.
2. Пользуемся разложением на множители. Про этот приём у меня есть
видеоурок.

Задание 14 – стереометрия.

Дана правильная треугольная пирамида SABC. Боковые ребра равны корень из 21, стороны основания равны 6. На боковом ребре SB и стороне AB отмечены точки M и K так, что SK:KB = 1:3, а AM = 4.
а) Доказать, что плоскости CKM и ABC перпендикулярны,
б) Найти объем пирамиды BCKM.

Задачу можно решить координатным методом по стандартным алгоритмам, разве что вычисления получатся некрасивые.
1. Задаём уравнения плоскостей, ищем угол между плоскостями как угол между нормалями. Про это у меня есть видеоуроки:
теория, практика.
2. Ищем все стороны треугольника CKM как длины векторов.
3. Ищем площадь треугольника CKM по формуле Герона.
4. Ищем расстояние от точки B до плоскости CKM - это длина высоты пирамиды. Формула разобрана в
моём онлайн-курсе.
5. Находим объём пирамиды, перемножив площадь основание, высоту и поделив на 3.

Задание 15 – неравенство.

-2

Говорят, было почти одинаковое по всей стране, так что можно было подсмотреть у Дальнего Востока. Мне именно такое условие прислали три ученика (с радостными комментариями, как смогли его решить). Решение действительно нетрудное: переносим всё в одну сторону, замечаем одинаковый логарифм, выносим его за скобку, применяем стандартный метод интервалов, не забываем ОДЗ. Про метод интервалов я снимала много уроков: часть 1, часть 2, часть 3, практика.

Задание 16 – планиметрия.

Дан прямоугольный треугольник с катетами AC и BC. На AC отмечена точка М, на продолжении стороны ВС за точку С отмечена точка N, при этом NC = AC, ВС = СМ.
а) СQ и СР - медианы в треугольниках АВС и NCM соответственно. Доказать, что угол между медианами равен 90.
б) Прямые ВМ и AN пересекаются в точке K, а прямые NM и АВ в точке L. Найти KL, если АС = 5, ВС = 3.

Чертёж от ученика
Чертёж от ученика

Впервые вижу на ЕГЭ задачу по планиметрии, которая настолько легко решается координатным методом. Берём начало координат в C, проводим оси по катетам, задаём координаты точек и находим нужные углы и отрезки по готовым формулам.

Видеоуроки по координатному методу я снимала для 14 задачи, но тут работает всё то же самое. Привожу ссылки: Вектора на плоскости, вектора в пространстве, координаты вектора, угол между векторами.

Задание 17 – финансы.

Взяли кредит на 5 лет. Сумма кредита S = 1050 тыс. руб., ставка 10% годовых. Первые три года долг оставался равным S, а за последние два года долг был выплачен двумя равными платежами. На сколько тыс. руб. последняя выплата больше, чем первая?

Условие восстановлено по рукописям
Условие восстановлено по рукописям

Такие задачи традиционно решают в первую очередь, когда начинают готовиться к 17 задаче. Это обычный аннуитетный платёж, что сразу понятно по фразе о равных платежах. Его только слегка замаскировали дополнительным условием, что в первые три года долг не меняется, а выплачивать нужно комиссию 0,1S.

Задание 18 – параметр.

При каких значениях параметра a система имеет два различных решения?

-5

Это задание было у четверых учеников: только один сказал, что решил, остальные пожаловались на сложность. Могу понять, достаточно нудное решение. Первая строчка сводится к двум случаям: y=ax и y=-ax. Если решать алгебраически, то нужно оба случая подставить во вторую строчку, решить и не забыть про ОДЗ. Если графически, то построить график из второй строчки (это окружность) и подобрать параметр, при котором прямые пересекают окружность дважды. Похожие задачи разобраны в моём онлайн-курсе.

Задание 19 – теория чисел.

На доске написаны числа, которые могут быть записаны только из цифр 2 и 7 (возможно, только из одной из цифр)
а) Можно ли написать такие числа, чтобы в сумме они давали число 81?
б) Можно ли написать такие числа, чтобы в сумме они давали число 197?
в) Какое минимальное количество чисел нужно для того, чтобы в сумме они давали 2099?

Отличная задача! Все мои ученики решили хотя бы один пункт. В (а) и (б) достаточно построить пример и записать его в ответ, даже решение не нужно. В (в) хорошо работает стандартный метод “оценка+пример”. Про метод подробно рассказано в моём онлайн-курсе.

-6

Задания ЕГЭ 2020 предсказуемы. Так и должно быть на массовом экзамене. Я довольна, мои ученики радуются и ждут хорошие баллы.

Пишите свои впечатления в комментариях. Нужно ли для вас написать решения приведённых задач? Или снять видеоурок?