Найти в Дзене
Математика не для всех

Редкие математические операции, о которых не рассказывали в школе

Оглавление

Подписывайтесь на канал в Яндекс. Дзен или на канал в телеграмм "Математика не для всех", чтобы не пропустить интересующие Вас материалы.

Много ли математических операций Вы знаете? Естественно, помимо 4 главных арифметических? Я думаю достаточное количество. Но сегодня речь пойдет об очень редких математических операциях : они довольно просты, но многим еше ни разу в жизни не встречались. Поехали!

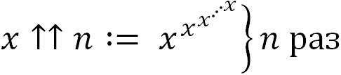
1. Стрелочная нотация Кнута

Мои читатели, знакомые с миром больших, нет нереально больших, чисел конечно знакомы с этой математической операцией, но остальные - навряд ли. Итак:

Источник: https://avatars.mds.yandex.net/get-zen_doc/1648379/pub_5cf726e895ea7300af218b59_5cf73a2af6c4ba00afebc728/scale_1200
Источник: https://avatars.mds.yandex.net/get-zen_doc/1648379/pub_5cf726e895ea7300af218b59_5cf73a2af6c4ba00afebc728/scale_1200

Операция придумана для записи чисел, когда привычное нам возведение в степень уже не может выразить их масштаба. Для понимания того, насколько огромные числа можно записать с помощью нотации Кнута, приведу пример:

Числа возрастают не просто быстро, а невообразимо быстро!
Числа возрастают не просто быстро, а невообразимо быстро!
Ах да! Стрелочек в нотации Кнута может быть и 3 и больше...намного больше.

2. Пропорциональность

Воскликните Вы: "Что же здесь нового?". Однако я больше чем уверен, что никому из Вас этот знак не встречался!

-4

Да, всё очень просто: одним знаком заменили знак равно и константу.

3. Супремум и инфимум

Аббревиатура из теории множеств (которую, кстати на своем канале пытаюсь рассказать доступно и с нуля). Пусть дано множество X, которое является подмножеством M, тогда

Cупремум - это наименьший элемент множества M, который больше любого элемента множества X. Пусть множество X= {1,2,3,4}, и оно входит в множество натуральных чисел N. Тогда супремумом множества X является 4 : действительно - это наименьшее из натуральных чисел, большее любого элемента из X. Обозначается sup(X).

Инфимум - это наибольший элемент множества M, который меньше любого элемента множества X. Пусть множество X= {3,4,5}, и оно входит в множество натуральных чисел R. Тогда инфимумом множества X является 3 : действительно - это наибольшее из натуральных чисел, меньшее любого элемента из X. Обозначается inf(X).

4. Сигнум

Естественно, что люди, знакомые с радиотехническими цепями очень часто используют эту аббревиатуру. Про остальных такого не скажу. Итак:

-5

Сигнум - это кусочно-постоянная функция, принимающая всего лишь три значения. Например, sgn(5) = 1 , sgn (10!) = 1, sgn (-3,14) = -1 и только sgn(0)=0. Не кажется ли данная функция слишком простой и где она применяется, знаете?

5. Радикал

Нет, это не знакомый всем со школьных времен корень. Это - нечто более интересное, но менее употребимое. По определению, радикалом числа является произведение его простых делителей. Обозначается rad(N).

Например, у числа 35 делители: 5 и 7, тогда rad(35) = 35. Возьмем число 504= 2^3 * 3^2 *7 - простые делители - это 2,3,7. Тогда rad(504) = 2*3*7=42.

Эта, казалось бы, простая математическая операция является одним из главных инструментов формулировки и доказательства ABC-гипотезы - чрезвычайно простой, но в тоже время пока недоказанной и важнейшей теоремой в области чисел, имеющей большое прикладное значение.

Путеводитель по каналу "Математика не для всех"

************************************************************************

Один из следующих материалов будет посвящен именно ABC - гипотезе, где я постараюсь простым языком объяснить, с чем пока безуспешно сражаются математики со всего мира! ПОДПИСЫВАЙТЕСЬ, чтобы не пропустить!

**************************************************************************

Список материалов для начинающего математика:

  • Зачем строителю египетский треугольник?
  • Как считать на пальцах до 60 ?
  • Самая красивая формула в мире математики.
  • 2+2 =5 с точки зрения математики.
  • Задачка про сосиски.
  • Помните теорему Виета?
  • Когда случайное не случайно: теорема Чебышева.
  • Решаю ЕГЭ по математике (часть А).