Найти в Дзене
Крепкий зумом

Энергия короткого замыкания

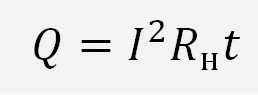
Электрический ток это направленное движение заряженных частиц. Чаще всего под заряженными частицами понимают электроны. Однако для жидкостей носителями электрического тока могут быть анионы и катионы (отрицательно и положительно заряженные ионы). Источники электрического тока имеют различную физическую природу – механическую, химическую, тепловую, световую, но независимо от этого при подключении замкнутой цепи к выходу любого источника тока по ней начинает бежать электрический ток. Если сопротивление замкнутой цепи, или как ещё говорят профессиональные электрики – нагрузки, мало, то происходит короткое замыкание. Цепь или какой-то её участок мгновенно нагревается и расплавляется. Поэтому КЗ напоминает микровзрыв. Откуда берётся энергия этого микровзрыва? Читатели знакомые со школьным курсом физики напомнят мне известное выражение Джоуля-Ленца, которое связывает количество тепла в проводнике с силой тока: где Q это количество тепла, I – сила тока, R – сопротивление нагрузки, t - в

Электрический ток это направленное движение заряженных частиц. Чаще всего под заряженными частицами понимают электроны. Однако для жидкостей носителями электрического тока могут быть анионы и катионы (отрицательно и положительно заряженные ионы). Источники электрического тока имеют различную физическую природу – механическую, химическую, тепловую, световую, но независимо от этого при подключении замкнутой цепи к выходу любого источника тока по ней начинает бежать электрический ток. Если сопротивление замкнутой цепи, или как ещё говорят профессиональные электрики – нагрузки, мало, то происходит короткое замыкание. Цепь или какой-то её участок мгновенно нагревается и расплавляется. Поэтому КЗ напоминает микровзрыв.

Откуда берётся энергия этого микровзрыва? Читатели знакомые со школьным курсом физики напомнят мне известное выражение Джоуля-Ленца, которое связывает количество тепла в проводнике с силой тока:

-2

где Q это количество тепла, I – сила тока, R – сопротивление нагрузки, t - время, в течение которого происходит выделение тепла. Ну да, подставляя в эту формулу значения тока и сопротивления цепи, мы легко подсчитаем количество тепла выделившегося за интересующее нас время. Но ведь тепло в данном случае не является источником энергии. Оно всего лишь форма этой энергии. А что спровоцировало выделение такого большого количества тепла при коротком замыкании полюсов источника тока? Попробуем разобраться вместе.

-3

Есть источник тока е, имеется нагрузка R, но электрический ток не течёт по разомкнутому контуру. Поэтому делаем вот так:

-4

Только после этого свободные электроны начинают движение по замкнутому контуру от минуса источника питания к его плюсу. На пути у электронов стоит сопротивление нагрузки. Не вдаваясь пока в природу электрического сопротивления, отметим просто тот факт, что оно ограничивает перемещение электронов по проводнику. Т.е. мешает электронам добираться до конечной цели – плюса источника тока. Что из этого следует? Согласно формальной логике из этого следует, что не все электроны, отправившиеся в путешествие по замкнутой цепи от минуса источника тока к его плюсу, доберутся до финиша. Какие-то из них потеряются на этом пути. И что характерно, чем больше величина сопротивления нагрузки, тем меньше электронов прибудет на конечную станцию. Так как согласно закону Ома величина тока обратно пропорциональна величине сопротивления в замкнутом контуре. Такая логика полностью соответствует современным представлениям о природе электрического тока. Но никак не объясняет взрывной характер выделения энергии при снижении сопротивления нагрузки. Более того, эти рассуждения заставляют задуматься – почему при большем сопротивлении цепи тепла выделяется меньше. Казалось бы, двигаются материальные частицы по некоему проводнику, встречают на своём пути препятствия (например, в виде других частиц), сталкиваются с ними - должны от таких столкновений нагреваться сами и нагревать проводник. Причём, чем больше столкновений, тем больше энергии выделяется и тем сильнее нагрев. Но в реальном электрическом замкнутом контуре всё происходит ровно наоборот.

-5

Если дополнить нашу схему цепью короткого замыкания, так как показано на рисунке выше, то по этой, дополнительной, цепи также потечёт ток. Причём величина этого тока будет во столько раз больше величины тока протекающего через нагрузку, во сколько раз сопротивление нагрузки больше сопротивления цепи КЗ. Соответственно, суммарный ток протекающий от минуса источника тока к его плюсу вырастет на величину тока КЗ, а величина выделяемого тепла как вы помните прямо пропорциональна квадрату тока. Т.е. при увеличении тока КЗ в 10 раз - тепла выделится в 100 раз больше. И в том случае, когда материал проводника окажется не способным рассеять это тепло, проводник просто расплавится или даже перейдёт в газообразную фазу. Получается, что источником тепла являются свободные электроны, перемещающиеся по проводнику электрического контура. Чем больше свободных электронов способен пропустить проводник, тем больше энергии они переносят. Ровно этот факт подтверждает, в буквальном смысле этого слова, уже упоминаемый в начале статьи закон Джоуля-Ленца. Но позвольте, современная термодинамика, хоть и допускает теплообмен посредством излучения, но носителями таких тепловых лучей являются фотоны, а не электроны. Про тепло переносимое электронами современная физика ничего не знает. А вот про энергию выделяемую свободными электронами при их взаимодействии с такими же свободными позитронами известно довольно давно. Ещё со времён Поля Дирака, теоретически обосновавшего существование антиматерии. С тех пор физики-экспериментаторы многократно наблюдали процесс взаимного уничтожения электронов и позитронов. На основании этих данных сама собой напрашивается мысль, что источником энергии короткого замыкания в электрических цепях является взаимодействие свободных электронов и позитронов – т.е. аннигиляция.

PS Ответ на вопрос - откуда в обычном электрическом контуре могут появиться свободные позитроны? Можно прочитать здесь и здесь.