Найти в Дзене

Самые приятные 29-е задачи ЕГЭ по химии. "Не задачи, а конфеты!"

Вы хотите познавать химию и профессионально, и с удовольствием? Тогда вам сюда! Автор методики системно-аналитического изучения химии Богунова В.Г. раскрывает тайны решения задач, делится секретами мастерства при подготовке к ОГЭ, ЕГЭ, ДВИ и олимпиадам Сегодня будем говорить о хорошем и приятном - об окислительно-восстановительных реакция в 29-х заданиях ЕГЭ. ОВР - это более чем интересно! Они заставляют нас находиться в постоянном мыслительном тонусе, держать в голове сразу несколько элементов процесса, одновременно проводя арифметические расчеты, анализировать, пользуясь теоретическими знаниями и практическими навыками. Короче, ОВР - это круто!!! Недаром мои ученики именуют ОВР "шоколадкой, конфеткой и мороженкой". Конечно, разговор идет о написании ОВР методом полуреакций (электронно-ионного баланса). Вы хотите почувствовать себя на голову выше составителей таблиц редокс-потенциалов? Как это возможно? Таблицы полуреакций составляются, исходя из эмпирических (опытных) данных. А мы

Вы хотите познавать химию и профессионально, и с удовольствием? Тогда вам сюда! Автор методики системно-аналитического изучения химии Богунова В.Г. раскрывает тайны решения задач, делится секретами мастерства при подготовке к ОГЭ, ЕГЭ, ДВИ и олимпиадам

Сегодня будем говорить о хорошем и приятном - об окислительно-восстановительных реакция в 29-х заданиях ЕГЭ.

ОВР - это более чем интересно! Они заставляют нас находиться в постоянном мыслительном тонусе, держать в голове сразу несколько элементов процесса, одновременно проводя арифметические расчеты, анализировать, пользуясь теоретическими знаниями и практическими навыками. Короче, ОВР - это круто!!! Недаром мои ученики именуют ОВР "шоколадкой, конфеткой и мороженкой".

Конечно, разговор идет о написании ОВР методом полуреакций (электронно-ионного баланса). Вы хотите почувствовать себя на голову выше составителей таблиц редокс-потенциалов? Как это возможно? Таблицы полуреакций составляются, исходя из эмпирических (опытных) данных. А мы пишем уравнения процессов исключительно теоретически, исходя из собственных знаний, умений и опыта. В итоге получается абсолютно то же! Так что круче, анализ или опыт?!

Однако, давайте по порядку. Согласно "Спецификации контрольных измерительных материалов", 29-е задание включает "Расчёты массы вещества или объема газов по известному количеству вещества, массе или объёму одного из участвующих в реакции веществ".

Какого типа задачи могут быть в 29-х заданиях? Я хочу разобрать их с точки зрения химических процессов и элементов алгоритмики.

Химические процессы:

1) Реакции обмена
2) Реакции термического разложения
3) Реакции замещения
4) Окислительно-восстановительные реакции
5) Электролиз
6) Реакции по механизму необратимого гидролиза

Элементы алгоритмики:

1) расчет по уравнению реакции (обычный)
2) пересчет количества вещества в массу или объем и наоборот
3) избыток-недостаток
3) выход реакции
4) степень превращения

Сегодня я представляю задачу, в основе которой лежит окислительно-восстановительная реакция с обычным расчетом по уравнению реакции и пересчетом количества вещества в объем газа.

Задание 29

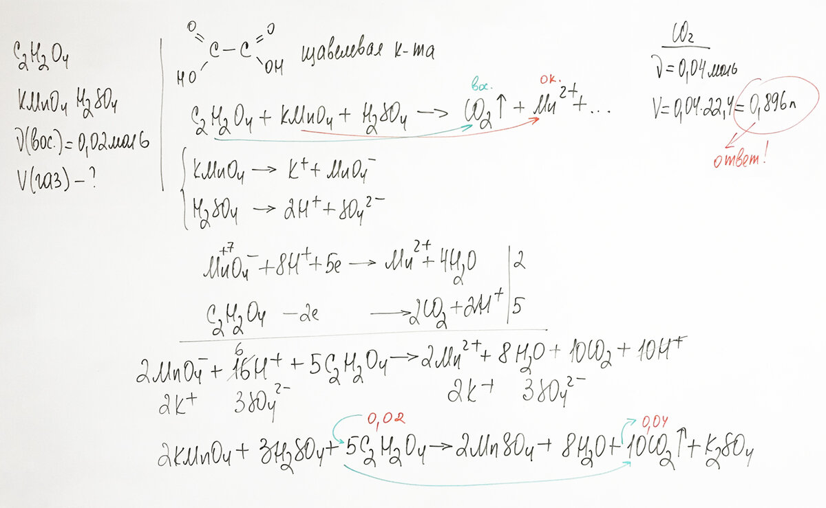
Рассчитайте объем газообразного продукта взаимодействия избытка щавелевой кислоты с перманганатом калия в сернокислой среде, если прореагировало 0,02 моль восстановителя.

Небольшое пояснение. При окислении органических кислот сильными окислителями, как правило, образуется СО2, где углерод имеет максимальную степень окисления +4 (равную номеру группы). В условии задачи также оговаривается, что продукт реакции - газообразный (рассчитайте объем газообразного продукта...).

Кстати, вы знаете, как рассчитать число электронов в полуреакции органического восстановителя? Есть очень легкий способ. О нем читайте в других статьях и на страницах моего сайта "Репетитор по химии".

А пока - пока! Успехов и удачи вам во всем! До встречи на полях Яндекс Дзен! Не забывайте подписаться на канал и поставить лайк за статью!

Вы хотите сдавать ЕГЭ по химии и биологии? Обязательно посетите мой сайт Репетитор по химии и биологии. Здесь вы найдете огромное количество задач, заданий, теоретического материала и познакомитесь с моими учениками.
На странице ВК я анонсирую свои публикации, вебинары, уроки, рассказываю и показываю решение задач и заданий, выкладываю новинки теоретического материала, конспекты и лекции. Добавляйтесь ко мне в друзья, и вы всегда будете в курсе всех событий, связанных с подготовкой к ЕГЭ, ДВИ, олимпиадам!
Полный каталог статей репетитора Богуновой В.Г. вы найдете на странице сайта Статьи репетитора
Подписывайтесь на YouTube-канал Репетитор по химии и биологии. Здесь ежедневно появляются новые вебинары, видео-уроки, видео-консультации, видео-решения.
Пишите мне в WhatsApp +7(903)186-74-55, я отвечу вам обязательно.

Репетитор по химии и биологии кбн В.Богунова