Найти в Дзене
Тесты_математика

Уравнения из школьной программы (иррациональные)

Рассмотрим уравнения с иррациональными выражениями (под корнем). Уравнения. решаем путём избавления от иррациональности в любой части уравнений.
В данной статье приведены несколько уравнений с иррациональными выражениями, и кратко - методика их решения. Сейчас много сайтов по решению подобных задач, но методика решения не всегда бывает понятна. А помощь в решении подобных задач иногда
Оглавление

Рассмотрим уравнения с иррациональными выражениями (под корнем). Уравнения. решаем путём избавления от иррациональности в любой части уравнений.

В данной статье приведены несколько уравнений с иррациональными выражениями, и кратко - методика их решения. Сейчас много сайтов по решению подобных задач, но методика решения не всегда бывает понятна. А помощь в решении подобных задач иногда требуется. Так что - пожалуйста, разбирайтесь, смотрите, что понятно, а что не понятно, пишите в комментариях, и мы отреагируем.

Яндекс -задачи
Яндекс -задачи

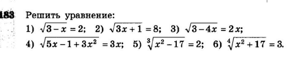
1. √(3 - х) = 2; избавимся от радикала в левой части уравнения. и возведём обе части уравнения в степень 2., получим:

[√(3 - х)]^2 = 2^2; (3 - х) = 4; 3 - 4 = х;  х = -1.

2. √(3*х + 1) = 8;  также возведём во вторую степень обе части уравнения [√(3*х + 1)]^2 = 8^2;  (3х +1)  = 64;  3*х = 63; х = 63/3 = 21.

3. √(3 - 4*х ) = 2х; также возводим в квадрат обе части уравнения. [√(3 - 4*х )]^2 = (2*х)^2; 4х^2 4х -3 = 0; решим квадратное уравнение: х = -1\2 +- √(1/4 + 3/4) = -1/2 +-1; х1 = 1/2; х2 = -3/2

Вот тут у меня в статье закралась ошибка, в том, что не проверены полученные корни, не появились ли посторонние.

х = -1\2 +- √(1/4 + 3/4) = -1/2 +-1; х1 = 1/2;

Проверка:

х1 = 1/2; √(3 - 2) = 2 * 1/2; 1 = 1; корень верный.

х2 = -3/2 -этот корень возможно посторонний и не удовлетворяет уравнению, проверим: √(3 - 4*х ) = √(3 - 4*(-3/2) ) = √(3 + 6) = 2 * (-3/2);

√9 = -3; корень не посторонний, и тоже удовлетворяет уравнению.

Спасибо за замечание моему читателю.

4. √(5x -1 +3x^2) = 3x; [√(5x -1)^2 = (3x)^2; 5x -1 = 9*х^2, решим квадратное уравнение. 9*x^2 - 5* х + 1.

5. Так же сначала путём возведения в 3 степень, получим: х^2 - 17 = 2^3; х^2 - 17 = 8; х^2 = 25; х1 = +5; х2 = -5.

6. Избавимся от иррациональности путём возведения в 4 степень  обеих частей уравнения, получаем: х^2 + 17 = 3^4; х^2 + 17 = 81;  х^2 = 64; х1 = 8; х2 = -8.

Пишите в комментариях, что понятно, или пишите свои задачи с уравнениями. Подписывайтесь на наш канал.

Поделитесь данной статьёй в соцсетях. Замечания и лайк приветствуются.