Добавить в корзинуПозвонить
Найти в Дзене
Широков Александр

Школьные задачи / Алгебра / А-114

Решите систему уравнений: Рассмотрим случаи с разными знаками подмодульного выражения x в первом уравнении системы. а) x ⩾ 0 Первое уравнение запишется в виде 3x + 3x + 2y = 6 или 3x + y = 3 Выразим из него y: y = 3 – 3x и подставим во второе уравнение системы: (x + y)·(x + y – 3) = 0 ⇔ (x + 3 – 3x)·(x + 3 – 3x – 3) = 0 ⇔ ⇔ (3 – 2x)·(–2x) = 0 ⇔ x·(3 – 2x) = 0 ⇔ Оба полученных значения x удовлетворяют условию неотрицательности и теперь можно найти соответствующие значения y: y = 3 – 3x = 3 – 3·0 = 3 и y = 3 – 3x = 3 – 3·³/₂ = –³/₂. Таким образом пары чисел x = 0, y = 3 и x = ³/₂, y = –³/₂ являются решениями исходной системы. б) x < 0 Первое уравнение системы в этом случае приобретает вид: 3x – 3x + 2y = 6 или y = 3 Полученный результат говорит о том, что если среди решений системы имеются такие, где x < 0, то значение y в таких случаях всегда будет равным 3. Подставляем равенство y = 3 во второе уравнение системы: (x + y)·(x + y – 3) = 0 ⇔ (x + 3)·(x + 3 – 3) = 0 ⇔ ⇔
Оглавление

Задание

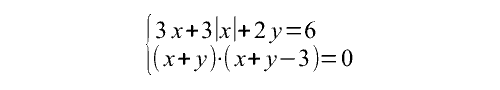
Решите систему уравнений:

Решение

Рассмотрим случаи с разными знаками подмодульного выражения x в первом уравнении системы.

а) x ⩾ 0

Первое уравнение запишется в виде

3x + 3x + 2y = 6 или 3x + y = 3

Выразим из него y:

y = 3 – 3x

и подставим во второе уравнение системы:

(x + y)·(x + y – 3) = 0 ⇔ (x + 3 – 3x)·(x + 3 – 3x – 3) = 0 ⇔

⇔ (3 – 2x)·(–2x) = 0 ⇔ x·(3 – 2x) = 0 ⇔

-2

Оба полученных значения x удовлетворяют условию неотрицательности и теперь можно найти соответствующие значения y:

y = 3 – 3x = 3 – 3·0 = 3

и

y = 3 – 3x = 3 – 3·³/₂ = –³/₂.

Таким образом пары чисел x = 0, y = 3 и x = ³/₂, y = –³/₂ являются решениями исходной системы.

б) x < 0

Первое уравнение системы в этом случае приобретает вид:

3x – 3x + 2y = 6 или y = 3

Полученный результат говорит о том, что если среди решений системы имеются такие, где x < 0, то значение y в таких случаях всегда будет равным 3.

Подставляем равенство y = 3 во второе уравнение системы:

(x + y)·(x + y – 3) = 0 ⇔ (x + 3)·(x + 3 – 3) = 0 ⇔

x·(x + 3) = 0 ⇔

-3

Как видно, значение x = 0 не удовлетворяет рассматриваемому здесь требованию x < 0, следовательно в качестве решения системы уравнений подходит одна пара чисел: x = –3, y = 3.

Обобщая полученные результаты получаем, что исходная система уравнений имеет три решения.

Ответ

(0; 3), (³/₂; –³/₂), (–3; 3)

Комментарий

Рассмотрим графический способ решения системы. Первое её уравнение можно преобразовать, представив как выражение функции y(x):

y = 3 – 3·(x + |x|)/2

График функции g(x) = (x + |x|)/2 рассматривался в задании А-73. Последовательно применив к нему Правило 5(ш), Правило 3(ш) и Правило 1(ш) получим график y(x).

Для построения графика второго уравнения воспользуемся Правилом 3(у):

-4

Решения системы есть точки пересечения графиков её уравнений:

-5

Как видно, эти точки располагаются в вершинах треугольника и имеют координаты (0; 3), (³/₂; –³/₂), (–3; 3).

Другие задания, имеющиеся на канале, можно найти здесь:

Школьные задачи | Широков Александр | Дзен

-6

Перечень публикаций на канале
Широков Александр2 декабря 2020

Сведения о новых статьях блога можно найти в Telegram-канале Shuric_Himik