Добавить в корзинуПозвонить
Найти в Дзене

Примеры решения типовых заданий ВПР. Задание №9. Вариант 21.

Уже в начальных классах школьники знают, что в выражениях без скобок действия выполняются слева направо, при этом сначала выполняется умножение и деление, а затем — сложение и вычитание. В выражениях же со скобками сначала выполняются действия в скобках, а потом также по порядку слева направо выполняется умножение и деление, затем — сложение и вычитание. Поэтому данный пример надо решать в пять действий: Для решения первого действия мы использовали правило умножения двух дробей, но перед этим обе дроби сократили (целое число можно рассматривать, как дробь со знаменателем 1). У чисел 6 и 3 наибольший общий делитель равен 3. Пользуясь основным свойством дроби (§7) мы сократили числитель 6 и знаменатель 3 на 3 и получили вместо 6 — 2, а вместо 3 — 1. Для решения первого действия мы использовали правило сложения (вычитания) дробей с разными знаменателями. У чисел 7 и 14 наибольший общий делитель равен 7. Пользуясь основным свойством дроби (§7) мы сократили числитель 7 и знаменатель 14 на 7
Оглавление

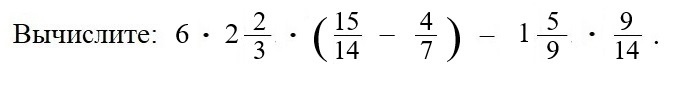
Условие задачи:

-2

Решение:

Уже в начальных классах школьники знают, что в выражениях без скобок действия выполняются слева направо, при этом сначала выполняется умножение и деление, а затем — сложение и вычитание.

В выражениях же со скобками сначала выполняются действия в скобках, а потом также по порядку слева направо выполняется умножение и деление, затем — сложение и вычитание.

Поэтому данный пример надо решать в пять действий:

-3

Для решения первого действия мы использовали правило умножения двух дробей, но перед этим обе дроби сократили (целое число можно рассматривать, как дробь со знаменателем 1).

У чисел 6 и 3 наибольший общий делитель равен 3. Пользуясь основным свойством дроби (§7) мы сократили числитель 6 и знаменатель 3 на 3 и получили вместо 6 — 2, а вместо 3 — 1.

-4

Для решения первого действия мы использовали правило сложения (вычитания) дробей с разными знаменателями.

У чисел 7 и 14 наибольший общий делитель равен 7. Пользуясь основным свойством дроби (§7) мы сократили числитель 7 и знаменатель 14 на 7 и получили вместо 7 — 1, а вместо 14 — 2.

-5