Найти в Дзене

Примеры решения типовых заданий ВПР. Задание №9. Вариант 23.

Оглавление

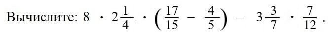
Условие задачи:

-2

Решение:

Уже в начальных классах школьники знают, что в выражениях без скобок действия выполняются слева направо, при этом сначала выполняется умножение и деление, а затем — сложение и вычитание.

В выражениях же со скобками сначала выполняются действия в скобках, а потом также по порядку слева направо выполняется умножение и деление, затем — сложение и вычитание.

Поэтому данный пример надо решать в пять действий:

-3

Для решения первого действия мы использовали правило умножения двух дробей, но перед этим обе дроби сократили (целое число можно рассматривать, как дробь со знаменателем 1).

У чисел 8 и 4 наибольший общий делитель равен 4. Пользуясь основным свойством дроби (§7) мы сократили числитель 8 и знаменатель 4 на 4 и получили вместо 8 — 2, а вместо 4 — 1.

-4

Для решения первого действия мы использовали правило сложения (вычитания) дробей с разными знаменателями.

У чисел 5 и 15 наибольший общий делитель равен 5. Пользуясь основным свойством дроби (§7) мы сократили числитель 5 и знаменатель 15 на 5 и получили вместо 5 — 1, а вместо 15 — 3.

-5