Найти в Дзене
In ФИЗМАТ

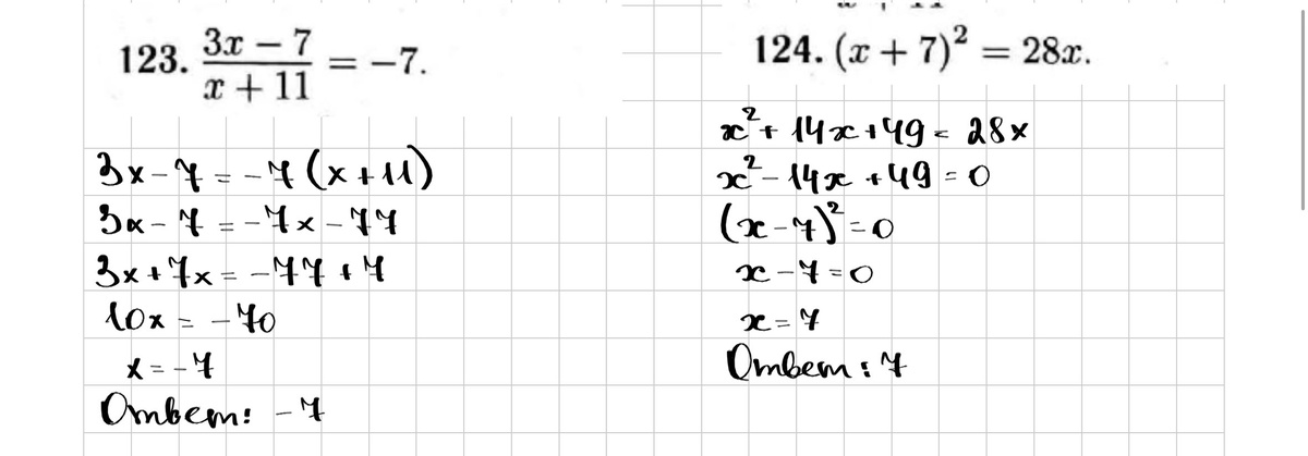
Простые уравнения для ЕГЭ по математике, профильный уровень. Сборник Лысенко, №№ 121-142

Преобразование выражений для ЕГЭ по математике, профильный уровень. Сборник Лысенко, №№121-142

Преобразование выражений для ЕГЭ по математике, профильный уровень. Сборник Лысенко, №№121-142

Преобразование выражений для ЕГЭ по математике, профильный уровень. Сборник Лысенко, №№121-142

Скачать ПДФ: https://disk.yandex.ru/i/tPbk2FtSRVrLQQ

-2
-3
-4
-5
-6
-7
-8
-9
-10
-11
-12
-13
-14