Найти в Дзене
IXBT.com

Самый ранний отток галактического масштаба открыт с помощью космического телескопа «Джеймс Уэбб»

Международная группа астрономов использовала космический телескоп «Джеймс Уэбб» (JWST) для проведения спектроскопических наблюдений яркого квазара, известного как J1007+2115. Астрономы обнаружили быстрый отток, исходящий из галактики квазара. Об этом открытии сообщалось в статье, опубликованной 20 сентября на сервере препринтов arXiv.

Квазары представляют собой активные ядра галактик (АЯГ) очень высокой светимости, испускающие электромагнитное излучение, наблюдаемое в радио, инфракрасном, оптическом, ультрафиолетовом и рентгеновском диапазонах. Они являются одними из самых ярких и самых далёких объектов в известной Вселенной и служат фундаментальными инструментами для многочисленных исследований в астрофизике и космологии.

Источник: DALL-E  📷
Источник: DALL-E 📷

Например, квазары использовались для исследования крупномасштабной структуры Вселенной и эпохи реионизации. Они также улучшили понимание динамики сверхмассивных чёрных дыр и межгалактической среды. Красное смещение является мерой расстояния и возраста объекта во Вселенной. Чем больше красное смещение, тем дальше и старше объект. С красным смещением 7,51 J1007+2115 является одним из самых далёких и старых квазаров, известных на сегодняшний день.

Он имеет болометрическую светимость около 204 кваттуордециллионов эрг/с, а его чёрная дыра имеет массу около 1,43 миллиарда солнечных масс. Предыдущие наблюдения J1007+2115 показали, что в галактике-хозяине имеется обильный молекулярный газ и пыль с массами на уровне 22 и 0,17 миллиардов солнечных масс.

Более того, в этой галактике происходит быстрое звездообразование, которая оценивается в 80–250 солнечных масс в год. В новой работе группа астрономов под руководством Вэйчжэ Лю из обсерватории Стюарда в Тусоне (штат Аризона), сообщила об открытиях относительно хозяина J1007+2115.

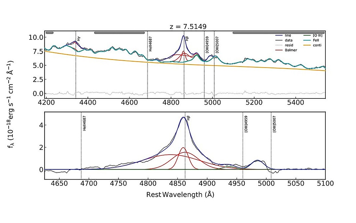
Спектр квазара J1007+2115. Источник: Liu et al., 2024  📷
Спектр квазара J1007+2115. Источник: Liu et al., 2024 📷

Используя камеру NIRSpec на борту JWST, астрономы идентифицировали протяжённую эмиссию дважды ионизированного кислорода (O III). Эта эмиссия сильно смещена в синюю область и широка, и простирается примерно на 6500 световых лет от квазара. Дальнейший анализ показал, что излучение, скорее всего, отслеживает быстрый отток в галактике-хозяине этого квазара.

Таким образом, принимая во внимание высокое красное смещение квазара, это самый ранний отток галактического масштаба, известный на данный момент. Согласно статье, скорость истечения импульса составляет около 3,7 ундециллиона дин* (3,7 × 10^35 дин), что составляет приблизительно 61% силы давления излучения, создаваемой квазаром.

Более того, скорость истечения кинетической энергии на уровне 0,36 кваттуордециллиона эрг/с составляет около 0,2% от болометрической светимости квазара. Эти результаты показывают, что квазар достаточно мощный, чтобы легко форсировать истечение. Исследование показало, что отток имеет большую скорость около 2100 км/с, что предполагает, что он может легко покинуть родительскую галактику.

Скорость оттока массы была рассчитана на уровне 300 солнечных масс в год, в то время как средняя динамическая временная шкала оттока была оценена примерно в 1,7 миллиона лет.

*Дин — это единица измерения силы в системе СГС, которая равна 1 грамм-силе, то есть силе, необходимой для ускорения объекта массой 1 грамм на 1 сантиметр в секунду в квадрате. Это очень небольшая единица силы. Например, вес яблока составляет примерно 1000 дин. В контексте статьи, 3,7 ундециллиона дин — это сила, которая эквивалентна примерно 370 000 000 000 000 000 000 грамм-сил. Это сила, необходимая для ускорения объекта массой 370 000 000 000 000 000 грамм (или примерно 370 000 000 тонн) на 1 сантиметр в секунду в квадрате.