Добавить в корзинуПозвонить
Найти в Дзене
Физика-блюз

«Свет мой, зеркальце! скажи …»

Даже беглый просмотр неиссякаемого потока публикаций о фотонах и комментариев к этим статьям свидетельствует о том, что самые яростные споры возникают вокруг его массы. Практически все согласны с тем, что масса фотона равна нулю, но это утверждение вызывает естественный вопрос о существовании такой частицы в принципе. Если она невесома, то как ее можно ощутить, и что вообще означает признание чего-либо существующим? Поиск ответа на этот вопрос неизбежно приводит к немецкому математику и философу XVII века Готфриду Лейбницу, который главным признаком существования любого из объектов считал их взаимодействие друг с другом: «Quod non agit non existit» («Что не действует, то не существует»). Фотон электрически нейтрален, и не участвует в электромагнитном взаимодействии, парадоксальным образом являясь при этом переносчиком выше упомянутого типа взаимодействия. Не входя в состав атомных ядер, фотон безразличен к сильному взаимодействию. Тем не менее, фотон, по всей видимости, как и нейтрино,

Даже беглый просмотр неиссякаемого потока публикаций о фотонах и комментариев к этим статьям свидетельствует о том, что самые яростные споры возникают вокруг его массы. Практически все согласны с тем, что масса фотона равна нулю, но это утверждение вызывает естественный вопрос о существовании такой частицы в принципе. Если она невесома, то как ее можно ощутить, и что вообще означает признание чего-либо существующим? Поиск ответа на этот вопрос неизбежно приводит к немецкому математику и философу XVII века Готфриду Лейбницу, который главным признаком существования любого из объектов считал их взаимодействие друг с другом: «Quod non agit non existit» («Что не действует, то не существует»).

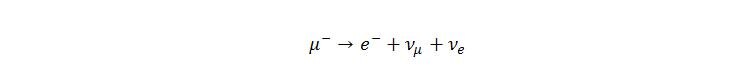
Фотон электрически нейтрален, и не участвует в электромагнитном взаимодействии, парадоксальным образом являясь при этом переносчиком выше упомянутого типа взаимодействия. Не входя в состав атомных ядер, фотон безразличен к сильному взаимодействию. Тем не менее, фотон, по всей видимости, как и нейтрино, участвует в слабом взаимодействии. Этот тип взаимодействия является не менее универсальным, чем гравитация, воздействию которой фотон подвержен несомненно. Слабое взаимодействие обеспечивает стабильность существования элементарных частиц, возвращая их из возбужденного состояния в основное, посредством процесса так называемого «распада» нестабильных частиц. Например, возвращает электрон из возбужденного мюонного состояния в его основное электронное состояние:

-2

Этого вполне достаточно для утверждения о том, что масса фотона все же отлична от нуля, хотя большинство, как профессиональных ученых, так и любителей науки непоколебимо уверены в обратном. Более того, на этом основании некоторые из них вообще отказывают фотону в возможности существования в качестве частицы, считая его исключительно электромагнитной волной.

Так, кто же все-таки прав в этом бесконечном споре?

И как это ни странно, но, скорее всего, правы обе «враждующие» стороны. В частности, к такому выводу подталкивает концепция дискретности процесса существования фотона, связанная с гармонической переменностью его массы.

Ну, вот, кто о чем, а лысый опять о расческе, то есть о переменности массы )))
Ну, вот, кто о чем, а лысый опять о расческе, то есть о переменности массы )))

Рискуя довести оппонентов до белого каления, в очередной раз возвращаюсь к представлениям о переменности массы, которые на этот раз призваны разрешить спор о том, равна ли масса фотона нулю или нет. Напомню основные положения этой концепции. Фотон, движущийся со скоростью света, проявляет свое существование относительно какого-либо другого объекта (например, покоящегося наблюдателя) только в те моменты времени, когда его масса проходит через критические значения.

В течение периода своего изменения масса фотона делает это четыре раза:

1) в двух точках перегиба <a> и <c> масса фотона принимает нулевое значение (μ = 0)

2) в точке поворота <b> текущее значение массы становится равным ее положительному амплитудному значению (μ = M)

3) в точке поворота <d> текущее значение массы становится равным ее отрицательному амплитудному значению (μ = -M)

Критические точки разделены интервалами времени продолжительностью равной четверти периода, в течение которых масса фотона изменяется монотонно, и поэтому его существование не замечается. В критической точке происходит резкое изменение характера функциональной зависимости массы от времени, и в этот момент возникает ощущение того, что фотон существует. Ситуация, в некоторой степени, напоминает неразличимость состояний покоя и равномерного перемещения. Подобным образом нельзя отличить несуществующий объект, у которого вообще нет массы, от объекта, масса которого монотонно изменяется.

Итак, масса фотона попеременно бывает и равной нулю, и отличной от нуля. Мгновенное равенство массы нулю вовсе не означает, что такой объект не существует. В среднем масса фотона равна нулю, хотя периодически и принимает отличные от нуля значения. Говоря другими словами, фотон все-таки существует как частица, несмотря на свою нулевую массу покоя.

Перейдем теперь к следующему вопросу: рассмотрим контактное взаимодействие элементарных частиц с макроскопическим объектом как целого, то есть без учета атомарной структуры последнего. В случае фотонов это хорошо изученное отражение света границей раздела двух сред, подробно проанализированное в статье «Несколько вопросов Рене Декарту об отражении света прозрачным препятствием». Казалось бы, тема закрыта раз и навсегда, но, тем не менее, возникает большой соблазн связать ход и результаты процесса отражения частиц с периодическим изменением их массы, сделав это не только в отношении фотонов, но и поставив на место последних также электроны и нейтрино.

На первый взгляд, никакой разницы между ударом о макроскопическое препятствие массивного объекта и легкой элементарной частицы ожидать не приходится, однако, чем меньше масса объекта, тем заметнее ее изменение, влияющее на результат взаимодействия, становящийся более доступным для наблюдения.

Решение задачи начнем, как обычно, с механического примера, и, конечно, это будет классическая задача об упругом соударении биллиардного шара или теннисного мяча с неподвижной массивной стеной. Запишем закон сохранения импульса системы указанных тел:

-4

Здесь используются следующие обозначения: величины (массы и скорости) с индексом «1» относятся к шару, с индексом «2» - к стене; штрихами отмечены значения этих величин после соударения.

-5

Перейдем к проекциям скорости шара, до его удара о стену и после удара, на нормаль к поверхности OB, учитывая неподвижность стены и неизменность массы шара:

-6

В случае равенства модуля скорости до удара модулю скорости после удара, как это имеет место в действительности, приходим к ожидаемому равенству угла отражения углу падения (β = α).

Рассмотрим теперь ситуацию совершенно невозможную в классической механике. Пусть в момент удара шара о стену (в точке O) его масса имела величину m1, а в следующий момент времени, когда шар проявляет свое существование после отражения, его масса принимает уже другое значение
m'1 = m1 + Δm. Все это, на первый взгляд, приводит к нарушению закона сохранения импульса:

-7

На самом деле, этот закон остается в силе, но за это приходится «расплачиваться» нарушением закона отражения. В рассматриваемой ситуации угол отражения уже не будет совпадать по величине с углом падения (β ≠ α).

Изменение левой части последнего выражения за счет появления дополнительного слагаемого Δm компенсируется соответствующим изменением угла отражения β. Если масса увеличивается, то косинус этого угла становится меньше, и сам угол β уменьшается, по сравнению с углом падения α (β < α). Если же масса уменьшается, то угол отражения наоборот увеличивается (β > α).

Легко видеть, что косинус угла отражения связан с косинусом угла падения следующим образом:

-8

Для макроскопических тел m1 >> Δm, так что отношение указанных величин благополучно стремится к нулю, и равенство углов β = α соблюдается с очень высокой точностью. Если массы материальных объектов, в нашем случае элементарных частиц, действительно изменяются по гармоническому закону с приемлемой для их измерения частотой ωi:

-9

то за один период критические значения масс успевают измениться трижды: принять минимальное значение, затем среднее и, наконец, максимальное.

Так электрон (или более тяжелая элементарная частица вещества - протон) проходит через следующие состояния по массе:

-10

Критические значения массы нейтрино (статья «Братство кольца. Нейтрино»):

-11

Фотон (статья «Братство кольца. Фотон»):

-12

Тогда, при прочих равных условиях, следует ожидать соответствующего изменения углов отражения. Используя обозначения принятые в выражении для периодического изменения массы объектов, формулу, которая связывает косинус угла отражения с косинусом угла падения, можно записать в таком виде:

-13

Начнем с обобщающего анализа взаимодействия света с веществом. Как известно, фотоны не только отражаются от препятствия (луч OC), но еще и проходят сквозь поверхность раздела (луч OB), а также «преломляются»
( луч OE).

-14

Покажем, что «преломление» потоков частиц света представляет собой разновидность или частный случай их отражения, то есть продемонстрируем, что по своей сути, процессы отражения и преломления - «одного поля ягоды».

Отражение фотона происходит, когда текущее значение его массы в момент столкновения с препятствием равно ее положительному амплитудному значению (Mγ). Причем, на этот момент времени амплитудное значение берет на себя физические функции средней величины массы фотона, то есть обращается в ноль ( т. е. Mγ =0, а μγ = Mγ).

Поэтому, как это и происходит в действительности, фотон отражается под углом β = α, и в дальнейшем перемещается по лучу OC, который получается поворотом продолжения падающего луча OBна угол BOC = π - 2α против часовой стрелки:

-15

Если в момент удара о поверхность препятствия текущее значение массы фотона было равно ее отрицательному амплитудному значению (μγ = -Mγ), то такая частица «прошивает» поверхность раздела под углом преломления r. Можно сказать, что в этом случае фотон опять «отражается», но уже во вторую среду и под другим углом r (луч OE). Угол r вычисляется обычным образом – через синус угла падения (n – показатель преломления):

-16

Подобно лучу OC, луч OE так же получается поворотом продолжения падающего луча OB, но только теперь - на другой по величине угол BOE = α – r по часовой стрелке. Поскольку функции угла β взял на себя угол r, постольку должно соблюдаться следующее равенство:

-17

Из которого следует, что в силу того, что Mγ < 0, отношение амплитудного значения массы фотона к ее текущему значению, есть величина отрицательная. Это вполне согласуется с рассматриваемым «отражением вперед», во вторую среду (μγ = -Mγ).

Убедимся в этом, для чего преобразуем предыдущее равенство, и приведем его к следующему виду, воспользовавшись определением показателя преломления:

-18

С другой стороны, поскольку β ↔ r, можно записать такое выражение:

-19

Что и требовалось показать. Другими словами, в этом случае обычного отражения попросту нет, о чем также свидетельствует и обращение в ноль знаменателя дроби в правой части выражения для косинуса угла β. Обращение знаменателя дроби в ноль, как раз и означает, что такой угол в данный момент времени физически не существует (за него «работает» угол r):

-20

Наконец, имея в момент контакта с препятствием нулевое значение массы, фотон углубляется во вторую среду на расстояние OB, равное четверти его дебройлевской длины волны (статья «Волна-призрак»), чтобы, проявив
в точке B свое существование, снова либо отразиться (луч BD), либо преломиться (луч BF). То есть, вступить во взаимодействие со следующей плоскостью имеющего не нулевую толщину поверхностного
слоя препятствия, образно говоря, «вторым темпом» (статья «Еще немного о прохождении и отражении света»).

Итак, зависимость угла отражения фотонов от величины их массы в момент контакта очевидна, и имеет принципиальное значение, наделяя частицы света уникальной способностью проникновения внутрь и насквозь прозрачных для них препятствий. Для частиц света разница в углах отражения составляет доступные для наблюдения и измерения десятки градусов.

-21

Перейдем к частицам с не равной нулю средней массой. Совершенно очевидно, что электрон во всех трех случаях, только отражается: и когда текущее значение его массы в момент касания препятствия равно ее среднему значению (луч OC) и когда оно меньше или больше среднего на величину равную амплитуде изменения массы (лучи OD и OB соответственно). То есть, формально всякий раз электрон лишь отражается в одном из трех разных направлений, под углами β = α, β < α и β > α. Проникнуть внутрь поверхностного слоя, и, тем более, «преломиться» электрон не может, так как его масса никогда не бывает ни нулевой, ни отрицательной.

-22

Итак, один падающий луч, состоящий из электронов, расщепляется на три отраженных потока этих частиц, формально происходит «тройное лучеотражение».

Для луча OCоказывается, что (с учетом Me <<μe0 или μe0 / Me >> 1):

-23

Луч OB отражается под углом незначительно меньшим угла α:

-24

Луч OD отклоняется в другую сторону от луча OC на угол, отличающийся от угла α на ту же величину, что и луч OB:

-25

Таким образом, фактически угол отражения β электрона изменяется на ничтожно малую величину, что подтверждают и вычисления для разных углов падения (например, α = 50°) с подстановкой реальных значений средней массы электрона (μe0 = 9,11E-31 кг) и амплитуды изменения его массы (Me ~1E-41 кг). Разница в углах появляется только в девятом знаке после запятой.

-26

Так что даже такая легкая частица как электрон при отражении от поверхности раздела ведет себя, как макроскопический объект, для которого равенство β = α выполняется абсолютно точно. Что же тогда говорить о тяжелых макроскопических объектах? Только то, что зависимостью угла отражения таких объектов (включая электроны) от массы можно совершенно безболезненно пренебречь.

Проследим теперь за поведением нейтрино, от которого стоит ожидать сюрпризов, принимая во внимание репутацию этой частицы. Нейтрино, как и фотон, отражается от препятствия, проходит внутрь его, но не «преломляется», поскольку масса нейтрино никогда не бывает отрицательной величиной. Ее минимальное значение равно нулю, и это значение обеспечивает нейтрино лишь возможность прохождения сквозь поверхность препятствия на расстояние OB, равное четверти его дебройлевской длины волны.

-27

И это еще не всё. Помимо сюрприза с преломлением, нейтрино формируют не один, а два отраженных под разными углами потока этих частиц. Когда текущее значение массы нейтрино в момент удара о поверхность препятствия равно ее среднему значению (μν= Mν), то есть амплитудное значение массы нейтрино в этот момент равно нулю (Mν = 0), образуется обыкновенный отраженный
луч OG:

-28

Отражение под другим углом (луч OC) происходит, когда текущее значение массы нейтрино в момент удара о поверхность препятствия равно ее максимальному значению (μν = 2Mν). В этом случае угол отражения оказывается больше угла падения:

-29

Такое вот, обнаруживаемое невооруженным глазом, двойное «лучеотражение» получается. Обыкновенный отраженный луч образуется, как и у фотонов, поворотом луча OB на угол GOB = γo = π - 2α против часовой стрелки, а необыкновенный отраженный луч – поворотом луча OB на угол
COB = γe = π - βo – βe. Сумма углов падения, отражения и поворота равна 180°:

-30

Такое же двойное «лучеотражение» происходит и в точке B. Так что хотя нейтрино и не «преломляется», но зато формирует целых четыре отраженных луча, под углами доступными наблюдению и измерению.

-31

Обобщая вышеизложенное, можно сказать, что частицы каждого из трех рассмотренных типов в результате упругого столкновения с макроскопическим препятствием формируют по три луча. Фотоны образуют один отраженный луч, один прошедший луч и один преломленный луч. Нейтрино собираются в два отраженных луча и в один прошедший луч, а электроны - в три отраженных луча, практически сливающихся в один луч.

-32