Добавить в корзинуПозвонить
Найти в Дзене
Физика-блюз

Братство кольца. Фотон

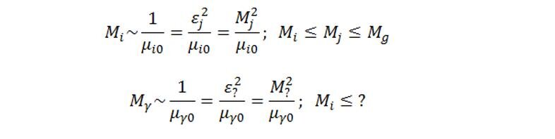
Итак, наконец-то дело дошло до последней по порядку, но не по значимости, фундаментальной элементарной частицы – фотона. Выясним, как в рамках концепции переменности массы материальных объектов будет выглядеть графическая модель частицы света или шире – модель частицы электромагнитного излучения (элементарной частицы с индексом i= 1). Это, пожалуй, самая противоречивая из всех фундаментальных частиц (ФЧ). Тем не менее, при построении модели фотона, будем по-прежнему опираться на утверждение о том, что амплитудное и среднее значения его массы так же, как и у остальных ФЧ, обратно пропорциональны друг другу: Однако в случае фотона уже в самом начале процедуры моделирования возникают весьма серьезные неприятности. Во-первых, неясно, с какой частицей следует связать коэффициент пропорциональности εj в последнем выражении, ведь известных частиц в ряду ФЧ за фотоном просто больше нет. Во-вторых, поскольку фотон является не частицей вещества, а частицей излучения и переносчиком электромагнитн

Итак, наконец-то дело дошло до последней по порядку, но не по значимости, фундаментальной элементарной частицы – фотона. Выясним, как в рамках концепции переменности массы материальных объектов будет выглядеть графическая модель частицы света или шире – модель частицы электромагнитного излучения (элементарной частицы с индексом i= 1).

Это, пожалуй, самая противоречивая из всех фундаментальных частиц (ФЧ). Тем не менее, при построении модели фотона, будем по-прежнему опираться на утверждение о том, что амплитудное и среднее значения его массы так же, как и у остальных ФЧ, обратно пропорциональны друг другу:

-2

Однако в случае фотона уже в самом начале процедуры моделирования возникают весьма серьезные неприятности.

Во-первых, неясно, с какой частицей следует связать коэффициент пропорциональности εj в последнем выражении, ведь известных частиц в ряду ФЧ за фотоном просто больше нет.

Во-вторых, поскольку фотон является не частицей вещества, а частицей излучения и переносчиком электромагнитного взаимодействия, постольку его масса покоя (или средняя масса μγ0) равна нулю.

-3

Это плохо по двум причинам:

1) в таком случае амплитудное значение массы фотона (Mγ), в соответствии с записанным выше выражением, устремляется к бесконечности;

2) и даже, если все-таки предположить существование в иерархии ФЧ какой-то частицы за фотоном, (это мог бы быть, например, гравитон), то масса этой частицы, изменяясь должна все время оставаться отрицательной величиной
(NB еще одна любопытная тема для размышлений).

Итак, в аналитическом описании модели фотона нашлось пока только одно достоверное равенство, правда, как только что выяснилось, равенство, приносящее большие проблемы, которые надо решать в любом случае.

К этому равенству можно добавить еще одно равенство, обнаруженное ранее, в ходе моделирования нейтрино, и связывающее амплитуду изменения массы фотона с амплитудой изменения массы нейтрино. Как оказалось, эти величины равны друг другу, а амплитуда массы нейтрино еще и совпадает с средней массой этой частицы («Братство кольца. Нейтрино»):

-4

Следующее выражение, также выявленное при моделировании нейтрино, означает обратную пропорциональность амплитуды изменения его массы самой себе:

-5

Рассуждение по аналогии приводит к выводу, что и амплитудное значение массы фотона так же обратно пропорционально самому себе, независимо от того известен ли явно коэффициент этой пропорциональности:

-6

Последнее утверждение равносильно признанию того факта, что функции средней массы фотона, равной нулю, передаются амплитуде изменения его массы, отличной от нуля. И таким образом, заменой величины μγ0 на величину Mγ, удается избежать неприятности с устремлением амплитуды фотона к бесконечности.

Графически это означает, что радиус внутренней окружности фотонного кольца (амплитуда изменения массы фотона) равен радиусу внешней окружности, то есть кольцо, изображающее фотон вырождается в окружность радиусом Mγ, подобно тому, как это происходит в модели нейтрино. Более того, радиусы окружностей, моделирующих нейтрино и фотон, совпадают между собой.

Графическое представление нейтрино (для напоминания)
Графическое представление нейтрино (для напоминания)
Геометрический образ фотона – «триединая» окружность (для сравнения другим цветом изображена окружность нейтрино)
Геометрический образ фотона – «триединая» окружность (для сравнения другим цветом изображена окружность нейтрино)

Модельные изображения этих частиц в координатной плоскости «вещество (kμ) – время (ct)» отличаются только в том, что окружность, моделирующая нейтрино, «катится без скольжения» по направляющей, которой служит ось абсцисс, оставаясь все время в положительной полуплоскости, заданной осями координат «вещество» и «время». Тогда как, в случае фотона окружность смещена вниз по оси ординат на величину Mν= Mγ, так что по оси абсцисс
(μγ = μγ0 = 0) совершает равномерное прямолинейное перемещение центр окружности, моделирующей фотон, а сама эта окружность «катится» по направляющей прямой μγ = -Mγ.

Итак, все детали компьютерного графического конструктора физических явлений и процессов готовы к использованию. Осталось только найти им подходящее и полезное применение, проверив выше упомянутый конструктор в деле наглядного представления последовательности тех или иных событий, происходящих с прообразами данных моделей ФЧ в реальности.

-9