Найти в Дзене

Задачи 628 и 629 из учебника по алгебре для 8-го класса (автор Ю. Н. Макарычев)

Решение задач с помощью дробных рациональных уравнений Уважаемые мамы и папы, дедушки и бабушки! На примерах решений задач № 628 и № 629 из учебника по алгебре для 8-го класса авторов Ю. Н. Макарычева, Н. Г. Миндюк, К. И. Нешкова и С. Б. Суворова под редакцией С. А. Теляковского предлагаю вспомнить решение задач с помощью дробных рациональных уравнений. Условие задачи 628: Моторная лодка, скорость которой в стоячей воде 15км/ч, прошла по течению реки 35 км, а против течения 25 км. По течению она шла столько же времени, сколько против течения. Какова скорость течения реки? Решение: Пусть скорость течения реки будет x км/ч. Тогда скорость движения моторной лодки по течению реки 15 + x км/ч, а скорость движения против течения 15 – x км/ч. Зная, что 35 км по течению реки моторная лодка проходит за то же время, за которое она же проходит 25 км против течения реки, составляем уравнение: Общий знаменатель дробей (15 + x) (15 – x). Умножим обе части уравнения на общий знаменатель дробей. Пер
Оглавление

Решение задач с помощью дробных рациональных уравнений

Уважаемые мамы и папы, дедушки и бабушки!

На примерах решений задач № 628 и № 629 из учебника по алгебре для 8-го класса авторов Ю. Н. Макарычева, Н. Г. Миндюк, К. И. Нешкова и С. Б. Суворова под редакцией С. А. Теляковского предлагаю вспомнить решение задач с помощью дробных рациональных уравнений.

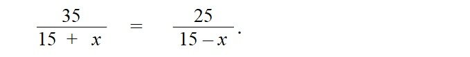
Условие задачи 628:

Моторная лодка, скорость которой в стоячей воде 15км/ч, прошла по течению реки 35 км, а против течения 25 км. По течению она шла столько же времени, сколько против течения. Какова скорость течения реки?

Решение:

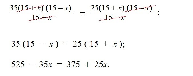
Пусть скорость течения реки будет x км/ч. Тогда скорость движения моторной лодки по течению реки 15 + x км/ч, а скорость движения против течения 15 – x км/ч. Зная, что 35 км по течению реки моторная лодка проходит за то же время, за которое она же проходит 25 км против течения реки, составляем уравнение:

Общий знаменатель дробей (15 + x) (15 – x).

Умножим обе части уравнения на общий знаменатель дробей.

-2

Перенесём слагаемые с одинаковой буквенной частью в одну сторону уравнения: 25x

– из правой части уравнения в левую, а 525 перенесём из левой в правую. При этом помним, что согласно правилу переноса слагаемых из одной части уравнения в другую (§41 «Математики» А. Г. Мерзляк (6 класс)), знаки переносимых слагаемых меняются на противоположные:

– 35x – 25x = 375 – 525;

– 60x = – 150;

x = – 150 : ( – 60 );

x = 2,5 км/ч – скорость течения реки.

Ответ: скорость течения реки 2,5 км/ч.

Ответ легко проверить:

35 : (15 + 2,5) = 35 : 17,5 = 2 часа шла моторная лодка по течению.

25 : (15 – 2,5) = 25 : 12,5 = 2 шла моторная лодка против течения.

2,5 = 2,5.

Условие задачи 629:

Катер, развивающий скорость в стоячей воде 20 км/ч, прошёл 36 км против течения и 22 км по течению, затратив на весь путь 3 ч. Найдите скорость течения реки.

Решение:

Пусть скорость течения реки будет x км/ч. Тогда скорость движения катера против течения реки 20 – x км/ч, а скорость движения по течению реки 20 + x км/ч. Зная, что на весь путь катер затратил 3 часа, составляем уравнение:

-3

Общий знаменатель дробей (20 – x) (20 + x).

Умножим обе части уравнения на общий знаменатель дробей.

-4

В правой части уравнения мы воспользовались формулой произведения разности двух выражений и их суммы. Теперь раскроем скобки:

-5

Перенесём все слагаемые в левую часть уравнения, соблюдая правило переноса слагаемых из одной части уравнения в другую:

-6

Мы получили квадратное уравнение с чётным вторым коэффициентом, поэтому для решения уравнения удобнее воспользоваться формулой II.

-7

169 > 0, значит, уравнение имеет два корня.

-8

Ответ: скорость течения реки 2 км/ч.

Ответ легко проверить:

36 : (20 – 2) = 36 : 18 = 2 часа шёл катер против течения.

22 : (20 + 2) = 22 : 22 = 1 час шёл катер по течению.

2 + 1 = 3 часа затратил катер на весь путь.