Найти в Дзене

№ 536 из учебника по алгебре для 8-го класса (автор Ю. Н. Макарычев)

Решение квадратных уравнений. Найдите корни уравнения: Решение: В главе III §8 п. 21 учебника на странице 118 даётся определение квадратного уравнения: Если в квадратном уравнении хотя бы один из коэффициентов b или c равен нулю, то такое уравнение называют неполным квадратным уравнением. Статья с примерами решений неполного квадратного уравнения при b = 0 находится здесь, а статью при с = 0 можно посмотреть здесь. В этой же статье мы рассмотрим решение полного квадратного уравнения. В главе III §8 п. 22 учебника на странице 124 даётся формула корней квадратного уравнения: Доказательство этой формулы приводить не будем – это уже сделали авторы учебника. Мы просто используем её для решения уравнений. Авторы учебника также пишут, что если дискриминант больше нуля, то квадратное уравнение имеет два корня. Если равен нулю, то один корень, так как в числителе формулы корней квадратного уравнения в любом случае будет –b, независимо от того, добавим мы 0 к –b или отнимем. А вот если дискрими
Оглавление

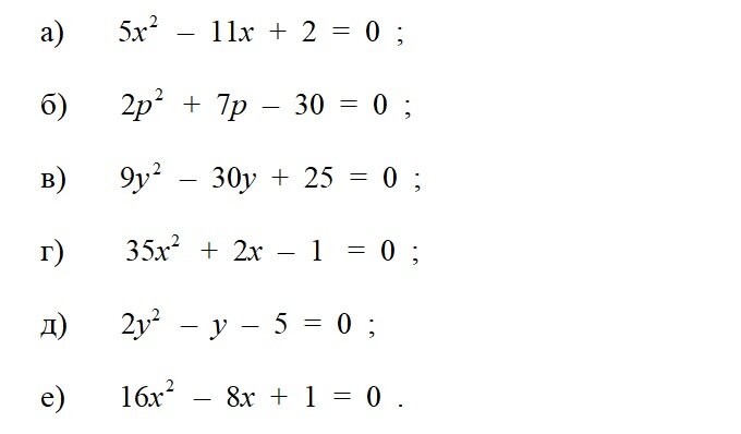
Решение квадратных уравнений.

Найдите корни уравнения:

Решение:

В главе III §8 п. 21 учебника на странице 118 даётся определение квадратного уравнения:

-2

Если в квадратном уравнении хотя бы один из коэффициентов b или c равен нулю, то такое уравнение называют неполным квадратным уравнением. Статья с примерами решений неполного квадратного уравнения при b = 0 находится здесь, а статью при с = 0 можно посмотреть здесь.

В этой же статье мы рассмотрим решение полного квадратного уравнения.

В главе III §8 п. 22 учебника на странице 124 даётся формула корней квадратного уравнения:

-3

Доказательство этой формулы приводить не будем – это уже сделали авторы учебника. Мы просто используем её для решения уравнений.

-4

Авторы учебника также пишут, что если дискриминант больше нуля, то квадратное уравнение имеет два корня. Если равен нулю, то один корень, так как в числителе формулы корней квадратного уравнения в любом случае будет –b, независимо от того, добавим мы 0 к –b или отнимем. А вот если дискриминант отрицателен, то корней нет, так как квадрат любого числа не может быть отрицательным числом.

81 > 0. Квадратный корень из 81 равен 9 или –9. Применим формулу корней квадратного уравнения:

-5

Аналогичным образом решим следующее уравнение.

-6

Уравнение «в» тоже можно найти по формуле I, но авторы учебника на странице 126 предлагают для уравнений с четным значением b более удобную формулу:

-7

В уравнении «г» значение b тоже чётное, поэтому его тоже можно решить, используя формулу II.

-8

Мы уже дважды убедились, что решать квадратное уравнение, используя формулу II, намного легче. Но в уравнении «д» значение b нечётное, поэтому здесь проще использовать для решения формулу I.

-9

41 > 0, поэтому у этого уравнения два корня. Но при этом √41 – число иррациональное, поэтому мы записываем ответ в таком виде.

При решении последнего уравнения опять можем применить формулу II, так как значение b опять чётное.

-10

Поскольку дискриминант равен нулю, уравнение имеет только один корень:

-11

Если бы значения a или c в этом уравнении были бы чуть больше, то дискриминант был бы уже меньше нуля и такое уравнение не имело бы корней.