Найти в Дзене
radiophysicist

Анализ состояний равновесий на примере нейрона ФитцХью-Нагумо

Photo form PxHere.
Photo form PxHere.

Рассмотрим анализ состояний равновесий на примере нейрона ФитцХью-Нагумо аналитически. Процедура, описанная в этой статье, позволяет найти состояния равновесия, определить их тип и исследовать их устойчивость.

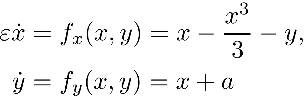
Уравнения, описывающие исследуемый нейрон ФитцХью-Нагумо.
Уравнения, описывающие исследуемый нейрон ФитцХью-Нагумо.

Чтобы найти равновесие или равновесия этой модели, нужно приравнять к нулю производные (поскольку в состоянии равновесия скорость изменения всех переменных должна быть равна нулю) и решить получившуюся систему алгебраических уравнений.

Система алгебраических уравнений для поиска равновесий модели нейрона ФитцХью-Нагумо.
Система алгебраических уравнений для поиска равновесий модели нейрона ФитцХью-Нагумо.

Решить получившуюся систему нужно относительно x* и y*, которые можно найти очень просто, решая сначала второе уравнение относительно x*, а затем первое - относительно y* с использованием результата, полученного при решении второго уравнения.

Состояние равновесия модели нейрона ФитцХью-Нагумо.
Состояние равновесия модели нейрона ФитцХью-Нагумо.

Эта модель очень простая и здесь обнаруживается всего одно состояние равновесия. Чтобы определить тип состояния равновесия и его устойчивость, в зависимости от величины параметра a, необходимо составить и решить характеристическое уравнение, которое для двумерной модели в общем случае выглядит следующим образом:

Характеристическое уравнение для двумерной системы обыкновенных дифференциальных уравнений.
Характеристическое уравнение для двумерной системы обыкновенных дифференциальных уравнений.

Полученное уравнение нужно решить относительно λ, которая и будет характеризовать тип состояния равновесия и его устойчивость. Решение приведено ниже:

Поиск характеристических показателей для модели нейрона ФитцХью-Нагумо.
Поиск характеристических показателей для модели нейрона ФитцХью-Нагумо.

В последней строке сразу было подставлено значение x*, соответствующее состоянию равновесия. Теперь мы имеем два характеристических показателя λ. Если в двумерной модели характеристические показатели принимают вещественные значения, то состояние равновесия является узлом. В случае же комплексных характеристических показателей состояние равновесия является фокусом. Стоит здесь отметить, что комплексные характеристические показатели всегда возникают в паре, то есть в двумерной системе не может быть равновесия одновременно с вещественным и комплексным характеристическими показателями. Также как не может быть одновременно комплексного и вещественного корней в квадратном алгебраическом уравнении. Следующим шагом будет определение типа состояния равновесия, для этого достаточно проанализировать выражение под корнем в последнем выражении для характеристических показателей.

Если под корнем неотрицательное число, мы имеем дело с узлом, в противном случае — с фокусом. Под корнем мы имеем биквадратное уравнение, решение которого показывает, что узел мы наблюдаем при a∉(-√3;√3), а фокус — при a∈(-√3;√3). Значит, если установить a=-2 и увеличивать, мы будем наблюдать сначала состояние равновесия типа фокус, при a=-√3 фокус сменится узлом, а при a=√3 узел опять сменится фокусом. Получается, равновесие существует при любых значениях параметра a, однако наблюдается оно не всегда, поскольку наблюдаются только устойчивые решения динамических систем.

Проанализируем устойчивость узла (a∉(-√3;√3)), то есть случае неотрицательного подкоренного выражения. В случае a∉(-√3;√3) оба характеристических показателя являются отрицательными, то есть существующее состояние равновесия типа узел является устойчивым.

Рассмотрим теперь устойчивость фокуса (a∈(-√3;√3)). В случае фокуса для определения устойчивости мы рассматриваем только действительную часть характеристических показателей.

При том, что фокус существует при a∈(-√3;√3), устойчивым он является только в промежутках a∈(-√3;1) и a∈(1;√3). В промежутке a∈(-1:1) состояние равновесия типа фокус является неустойчивым. Забегая вперед могу сказать, что вместо фокуса в промежутке a∈(-1:1) в численном эксперименте наблюдается предельный цикл, который рождается из фокуса в результате бифуркации Андронова-Хопфа при a=-1 и при a=1.

p. s. Чтобы сразу увидеть новый материал в моем блоге в своей ленте, подписывайтесь! Буду рад комментариям, вопросам, предложениям.

Наука
7 млн интересуются