Найти в Дзене

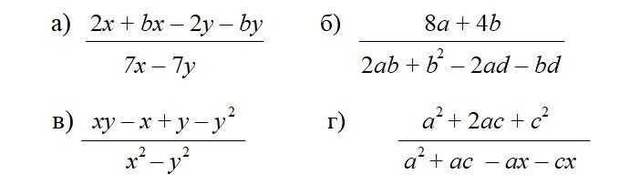
№ 35 из учебника по алгебре для 8-го класса (автор Ю. Н. Макарычев)

Основное свойство дроби. Сокращение дробей. Применение различных способов для разложения на множители. Сократите дробь: Решениe № 35 (а): Разложим на множители многочлен числителя 2x + bx – 2y – by, сгруппировав первый член с третьим и второй с четвёртым, будем иметь 2x + bx – 2y – by = 2 ( x – y ) + b ( x – y ). В выражении 2 ( x – y ) + b ( x – y ) есть общий множитель ( x – y ). После вынесения ( x – y ) за скобки получаем 2 ( x – y ) + b ( x – y ) = ( x – y ) ( 2 + b ). В знаменателе же вынесем за скобки общий множитель 7. 7x – 7y = 7 ( x – y ). Окончательно получим Пользуясь основным свойством дроби мы сократили числитель и знаменатель на наибольший общий делитель ( x – y ). Решениe № 35 (б): В числителе вынесем за скобки общий множитель 4 8a + 4b = 4 ( 2a + b ). В знаменателе же сгруппируем первый член с третьим и второй с четвёртым, будем иметь Здесь мы вынесли за скобки общий множитель ( b – d ). Окончательно получим Пользуясь основным свойством дроби мы сократили числитель
Оглавление

Основное свойство дроби. Сокращение дробей. Применение различных способов для разложения на множители.

Сократите дробь:

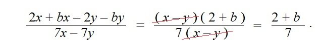
Решениe № 35 (а):

Разложим на множители многочлен числителя 2x + bx – 2y – by, сгруппировав первый член с третьим и второй с четвёртым, будем иметь

2x + bx – 2y – by = 2 ( xy ) + b ( xy ).

В выражении 2 ( xy ) + b ( xy ) есть общий множитель ( xy ). После вынесения ( xy ) за скобки получаем

2 ( xy ) + b ( xy ) = ( xy ) ( 2 + b ).

В знаменателе же вынесем за скобки общий множитель 7.

7x – 7y = 7 ( xy ).

Окончательно получим

-2

Пользуясь основным свойством дроби мы сократили числитель и знаменатель на наибольший общий делитель ( x – y ).

Решениe № 35 (б):

В числителе вынесем за скобки общий множитель 4

8a + 4b = 4 ( 2a + b ).

В знаменателе же сгруппируем первый член с третьим и второй с четвёртым, будем иметь

-3

Здесь мы вынесли за скобки общий множитель ( bd ). Окончательно получим

-4

Пользуясь основным свойством дроби мы сократили числитель и знаменатель на наибольший общий делитель 2a + b.

Решениe № 35 (в):

Разложим на множители многочлен числителя сгруппировав первый член со вторым и третий с четвёртым, будем иметь

-5

Поскольку выражения ( y – 1 ) и (1 – y ) имеют противоположные значения, выражение y*(1 – y) равнозначно выражению –y* (y1). Поэтому

x ( y – 1 ) + y ( 1 – y ) = x ( y – 1 ) – y ( y – 1 ) = ( y – 1 ) ( xy ).

Здесь мы вынесли за скобки общий множитель ( y – 1).

В знаменателе же применяем формулу разложения разности квадратов на множители. Окончательно получим

-6

Пользуясь основным свойством дроби мы сократили числитель и знаменатель на наибольший общий делитель x – y.

Решениe № 35 (г):

В числителе применяем формулу квадрата суммы, а в знаменателе группируем первый член со вторым и третий с четвёртым:

-7

Пользуясь основным свойством дроби мы сократили числитель и знаменатель на наибольший общий делитель a + c.