Найти в Дзене

Глава 1.Кинематика. Задача 8.

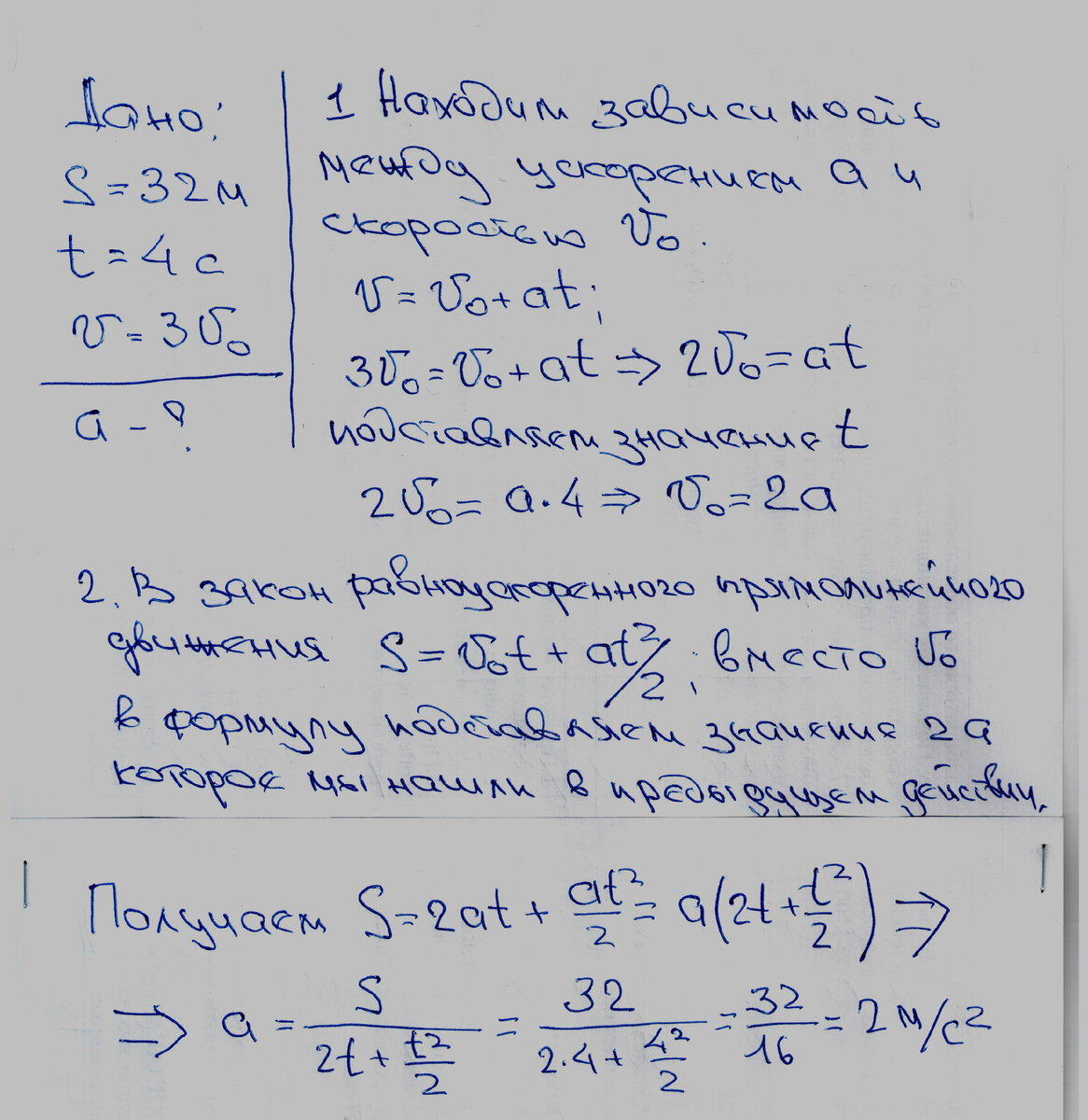
Задача: Тело движется вдоль оси равноускоренно с начальной скоростью Vo. В конце четвёртой секунды движения скорость тела V=3Vo. За это время тело прошло путь 32 метра. Определить ускорение тела. Решение: Для решения задачи вспоминаем закон равноускоренного прямолинейного движения. S=Vo*t+(a*t^2)/2. (Напоминаю значок^ обозначает степень, то есть t в квадрате. К сожалению редактор Дзена с математикой не очень дружит). Так же вспоминаем формулу как найти скорость движущейся равноускоренно точки , при известной начальной скорости и ускорении, в любой момент времени. V=Vo+a*t. Записываем и решаем задачу: Задача решена.

Задача: Тело движется вдоль оси равноускоренно с начальной скоростью Vo. В конце четвёртой секунды движения скорость тела V=3Vo. За это время тело прошло путь 32 метра. Определить ускорение тела.

Решение: Для решения задачи вспоминаем закон равноускоренного прямолинейного движения. S=Vo*t+(a*t^2)/2. (Напоминаю значок^ обозначает степень, то есть t в квадрате. К сожалению редактор Дзена с математикой не очень дружит). Так же вспоминаем формулу как найти скорость движущейся равноускоренно точки , при известной начальной скорости и ускорении, в любой момент времени. V=Vo+a*t.

Записываем и решаем задачу:

Задача решена.